在 2022 年 8 月 19 日发表于《分子精神病学》期刊上的一篇文章中,研究人员深入探讨了“借助深部脑刺激治疗难治性抑郁症”的可行性。参考美国国立卫生研究院(NIH)的预估数据:2020 年的时候,全美约有 2100 万人经历过至少一次重度抑郁症发作。不过一项新研究发现,对奖励和动机相关的大脑区域进行深部脑刺激,有望成为应对抑郁症的一套潜在治疗方法。

研究配图 1 - 组概率 DTI 分析
来自休斯敦的德克萨斯大学健康科学中心的研究人员指出,针对动机和奖励相关的内侧前脑束(MFB)上外侧分支的深部脑刺激(DBS)研究,揭示了 DBS 植入后持续 12 个月的大脑代谢性变化。
发表于《Molecular Psychiatry》上的这项新研究,在实验期间招募了 10 位患者,结果表明其有望成为治疗难治性抑郁症的一套潜在有效疗法。
作为德克萨斯大学休斯顿健康科学中心(UTHealth)麦戈文医学院 Vivian L. Smith 神经外科的前住院医师(现多伦多大学研究员),论文一作、医学博士 Christopher Conner 表示:
在此前的漫长研究中,医学界在使用 DBS 治疗精神疾病方面的实验并不总是非常成功。
但这项 PET 新研究表明,我们正在改变大脑的长期运作、以及让它开始自我组织并处理信息和数据的方式。

研究配图 2 - 6 / 12 个月随访时的祖 PET 分析
过去很长一段时间,DBS 一直被用于运动障碍患者的治疗 —— 包括但不限于帕金森、震颤和肌张力障碍 —— 同时也被视作难治性抑郁症的一套潜在疗法。
DSB 涉及将电极植入大脑的特定区域,并于那里产生改变大脑活动的电脉冲。不过研究的难点,在于确定大脑的哪个区域,可被用于治疗长期的抑郁症。Christopher Conner 补充道:
我们瞄向了离开这个脑干小区域的一束纤维,它可以传播到整个大脑的其它区域。PET 扫描结果表明,该区域具有非常分散的下游效应。
不过它的影响并不单一,因为没有一个大脑区域和抑郁症确切相关、整个大脑都需要改变。而针对这个小目标,就是目前我们所能做到的。

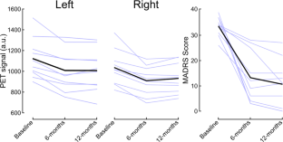
研究配图 3 - 所有受试者尾状核的平均 PET 变化和 MADRS 评分
在实施 DBS 之前,研究人员对 10 名参与者的每一人开展了基线 PET 扫描、并于 6 / 12 个月后的随访阶段开展了额外的对比扫描,以评估相关变化和疗效。结果发现,8 / 10 的患者都显现出了效果。
麦戈文医学院精神病学与行为科学系教授 Louis A. Faillace、以及兼任转化精神病学项目 / 抗治疗抑郁症项目主任的医学博士 João de Quevedo 总结道:
通过比对 PET 图像上的相关变化,患者报告称他们的抑郁症状在治疗后有所减轻。
对于患有严重慢性 / 难治性抑郁症的患者来说,良好反应表明受试者的抑郁症状可能减少了至少 50% 。