本周一,欧洲心脏病学会(ESC)旗下《心力衰竭》期刊上发表了一项新研究,指出阿司匹林药物的使用,或导致心力衰竭的风险增长 26% 。研究作者、德国弗莱堡大学的 Blerim Mujaj 博士表示:“作为大型研究项目的其中一项,其发现在有心力衰竭风险因素的个体中,服用阿司匹林的人、较不服用者更易患上这种疾病”。

此前有关阿司匹林与心力衰竭之间的影响,一直存在着较大的争议。
而这项新研究,就旨在评估其与患有 / 未患有心脏病群体的心力衰竭发生率之间的联系,从而评估该药物是否与高危群体的心力衰竭诊断有关。
SCI Tech Daily 指出,这项 HOMAGE 研究分析了来自西欧和美国的 30827 名风险受试者。
所谓“有风险”,特指有以下一项或多项因素,包括吸烟、肥胖、高血压、高胆固醇、糖尿病、以及心血管疾病。
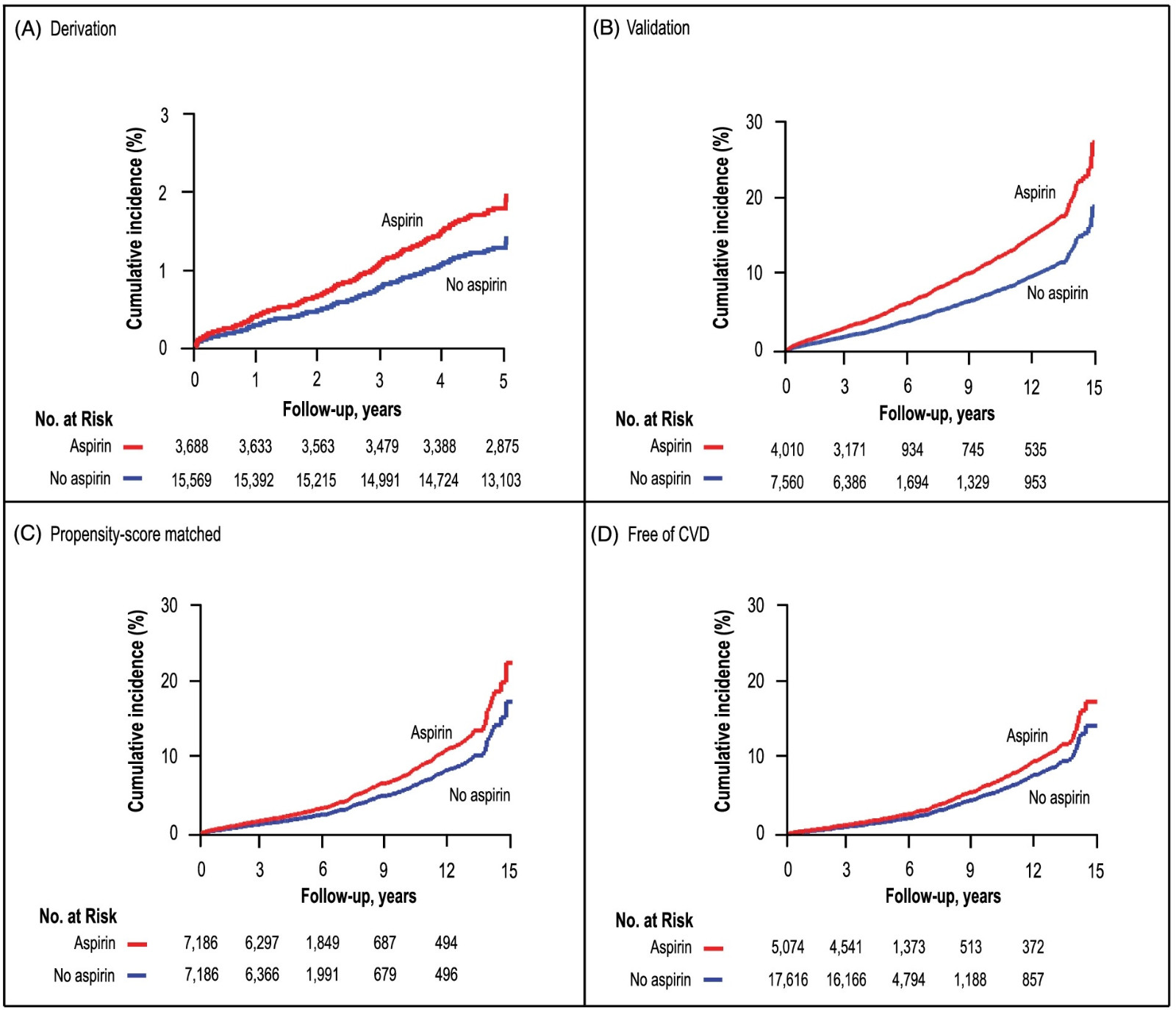
研究配图 - 1:随时间推移的风险关系
参与者年龄均在 40 岁及以上,初期没有踩到心力衰竭的基线,然后研究人员开始尝试记录两组参与者的身体状况(需接受首次住院治疗的致命 / 非致命心率衰竭发生率)。
此外参与者的平均年龄为 67 岁,女性占比 34% 。在基线状态下,共有 25% 参与者(7698 名)在服用阿司匹林。而在 5.3 年的随访期间,有 1330 名参与者遇到了心力衰竭。
在评估了性别、年龄、体重指数、吸烟、饮酒、血压、心率、血胆固醇、肌酐、高血压、糖尿病、心血管疾病、肾素治疗、肾素-血管紧张素-醛固酮系统抑制剂治疗、钙通道阻滞剂、利尿剂、β-阻滞剂、以及降脂药物等因素之后,研究人员最终认定服用阿司匹林与新诊断心力衰竭的风险增长呈 26% 的相关性。
研究配图 - 2:分层分析中收缩压 / 舒张压
为了检验结果是否呈现一致性,研究人员还在匹配了阿司匹林服用者 / 非服用者的心力衰竭风险因素后、进一步排除了有心血管疾病病史的患者,并重复开展了一番分析。
最终发现在 74%(22690 名)没有心血管疾病的参与者中,服用阿司匹林与发生心力衰竭的风险呈现了 27% 的相关性。而在此之前,他们就已经留意到此类风险患者应慎重服用阿司匹林。
Mujaj 评论道,在其研究中,阿司匹林是一种相当普遍的常用药物,约 1/4 参与者都有摄入。后续他们计划拓展覆盖多国的大型随机试验,以进一步验证这一结论。