问世间,丧为何物?丧,是“人间不值得”的处世观,是“葛优躺”的颓靡,是“马男波杰克”的消极。尽管有人认为丧文化是反向鸡汤,但伦敦大学学院最新研究指出,如果长期处于“丧”状态之中,会导致认知能力下降,更有可能患上阿尔茨海默病。简而言之——太丧,易傻。
太“丧”易患老年痴呆
阿尔茨海默病(Alzheimer disease,AD),俗称“老年痴呆症”,是一种退行性神经疾病。
患上阿尔茨海默病主要与两种物质相关——β 淀粉样蛋白和 tau 蛋白;由于大脑中淀粉样蛋白和过度磷酸化的 tau 蛋白的聚集,导致记忆衰退,甚至恶化。
尽管此前有研究指出焦虑、抑郁等情绪是患上阿尔茨海默病的“危险因素”,但这些情绪存在的患病风险都是被独立考量的。
伦敦大学学院研究人员认为,这些负面心理的患病风险,还在于其频率机制,即重复性消极思维(Repetitive Negative Thinking,RNT)。
研究结果现已发表在 Alzheimer’s & Dementia 期刊,题为“Repetitive negative thinking is associated with amyloid, tau, and cognitive decline”。
图片截自
在两年时间里,研究人员对 350 多名 55 岁以上的中老年人进行负面情绪研究,通过提问、问卷等形式了解研究对象是否存在 RNT 思维模式以及是否存在焦虑、抑郁等负面情绪,并重点关注那些具有重复消极思维的人。
另外,研究人员还对 113 名研究对象进行了 淀粉样蛋白正电子发射断层扫描(PET)和 tau-PET 扫描,对 68 名进行了 IMAP+ 队列淀粉样 ‐PET 扫描,以此评估 tau 蛋白和淀粉样蛋白的沉积。
这还没结束!
研究人员进行了长达 4 年的随访,结果发现,那些长期处于持续性消极思维的中老年人,他们大脑中的 tau 蛋白和淀粉样蛋白沉积更多,表现出的认知能力也更差;而这正是阿尔茨海默病的早期征兆之一。
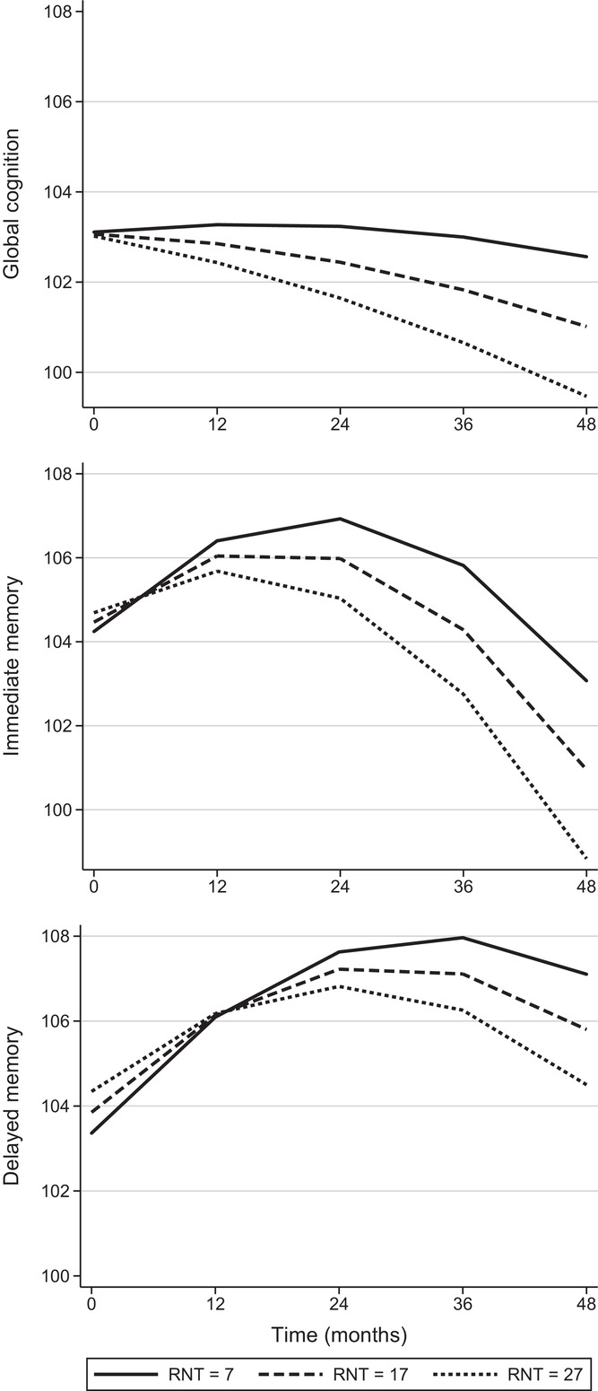
不好理解?!(请看图)

RNT 数字越高,表明重复性负面思维的时间越长
坐标图充分体现了 RNT 与认知能力之间的关系;RNT 数值越大,也就是处于重复性负面思维的时间越长,其即时记忆、延迟记忆都处于较低水平,即衰退更为明显。
对此,论文主要作者 Natalie Marchant 表示,长期的重复性消极思维是患上阿尔茨海默病的一个重要危险因素,而且它可能以一种独立的方式导致患上 AD 。
至于这一方式的具体路径,研究人员目前尚未完全清晰,有可能涉及人体的应激调节通路,比如血压升高等。后续将对此进行更多的探究。
不过,这一研究发现对阿尔茨海默病的治疗具有积极意义。
神经病学家 Richard Isaacson 博士表示:
研究表明了重复性否定性思维与阿尔茨海默氏病之间的生物学关系,为医师提供了一种更精确的评估风险的方法,能够给为患者量身定制治疗措施。
我为什么告诉你要乐观?
对老年人而言,长期的重复性消极情绪会增加阿尔茨海默病的患病风险。但对青年人来说,长期的“丧”转态,也不是一件好事。
医学杂志《JAMA》2019 年的一项研究曾对 30 万人进行荟萃分析,结果显示,悲观的人更容易患上心血管疾病。
图片截自
该研究的第一作者 Alan Rozanski 博士表示:
对比悲观主义者,乐观主义者的心脏并发症风险(包括心脏骤停、中风、心脏病发作等)低 35%。
另外,《美国国家科学院院刊》也有研究指出了乐观主义对生命健康的正面影响。
研究指出,乐观程度较高的人,其平均寿命会延长 11% 至 15%。
西奈山伊坎医学院医学教授 Alan Rozanski 认为,乐观主义者往往有更好的健康习惯,大多数乐观主义者会去锻炼,饮食也更为健康。不仅如此,乐观主义者面对问题会有更好的应对能力和处理能力,能够主动预测问题,主动采取措施。
相反,消极主义者无论对生活,还是问题,多处于消极、被动的状态,也就是“丧”。
且不说活得久,活得健康也是个问题。
生活不易,但要尽力开心
此前研究发现,只有 25% 左右的乐观情绪是由我们的基因控制的;剩下的 75% 取决于我们自身。
也就是说,自己才是乐观情绪的主人!
并且,有研究显示,人类可以通过能够训练大脑增加乐观情绪。该研究指出,每天进行 30min 的冥想练习, 坚持两周的时间,大脑会呈现出不一样的变化。
另外,“练习感恩”也是改变情绪的方法之一。
每天花几分钟写下值得感恩的事情,或是列出当日遇到的好事,长久坚持能够改善个人生活观,激发出乐观情绪。
但无论是哪一种方法,都需要每一个当事人有意识地寻求改变,迈向乐观积极的那一端。
尽管每个人的生活都充斥着苦辣酸甜,但正如美剧《 This Is Us 》里提到的那般:
我们要做的就是将生活中这柠檬般的酸楚酿成柠檬汽水般的甘甜。
Took the sourest lemon that life has to offer and turned it into something resembling lemonade.
还有,别忘了,“人间不值得”这句话的前半句,是——
“开心点吧,朋友”。