据外媒报道,事实证明,恐龙的运气比我们想象得要差得多。虽然一颗巨大的小行星撞击地球永远不会是一个好兆头,但一项新的研究表明,太空岩石以最致命的角度撞击地球从而最大限度地加剧了随后带来的灾难性气候变化。
大约6600万年前,一颗直径至少有10公里的小行星撞击了现在的墨西哥尤卡坦半岛。那次撞击事件摧毁了当时地球上3/4的生命,其中就包括恐龙和93%的哺乳动物。
虽然对于那些不幸离撞击区太近的生物来说,死亡来得相当快,但地球上的大多数生物都消亡于随后的一连串气候效应。大量的汽化岩石、硫磺、二氧化碳和水蒸气被送入大气层,在那里它们阻塞了空气并挡住了太阳。总结来说,天空在18个月的时间里变暗,这使得大多数进行光合作用的植物死亡,同时还击垮了陆地和海洋上的食物链。
现在,一项新的研究计算出了撞击的角度和小行星靠近的方向。为此,来自伦敦帝国理工学院、弗莱堡大学和德克萨斯大学奥斯汀分校的研究人员对希克苏鲁伯陨石坑的形状和结构进行了研究。
陨石坑的三个部分可以一起揭示撞击背后的故事。它们包括了陨石坑中心、顶峰环形山和地幔岩石。
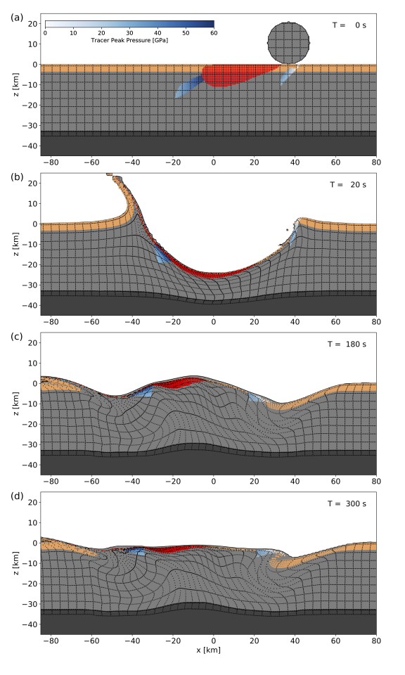
发现这三个区域的中心如何排列可以推断出小行星的方向和角度。在这种情况下,所有的中心都是朝西南-东北方向排列。陨石坑本身的中心则在这条线的中间,即峰环和地幔隆起的中心之间。
当研究人员对撞击进行3D模拟时,他们确定了跟在陨石坑中观察到的特征最接近的事件版本。据研究小组称,这颗小行星从东北方向以约60度的角度撞击地球。


该研究的首席研究员Careth Collins指出:“我们知道,这是对撞击造成的致命性的最坏情况之一,因为它将更危险的碎片送入高层大气并将其散布到各处——--正是这种情况导致了核冬天的到来。”
这并不是首个研究恐龙到底有多倒霉的研究。几年前,一组日本研究人员发现,如果小行星撞击的是地球几乎其他任何地方,那么随后发生的灭绝事件可能不会那么严重,这是因为撞击地点富含碳氢化合物,从而导致向大气中排放更多的碳烟。只有13%的地球表面会产生这种毁灭性的影响,而这正是它所撞击的地方。