返回上一页  首页 | cnbeta报时: 18:37:56
全球首个新冠疫苗人体试验结果公布:陈薇团队成果
发布日期:2020-05-23 19:03:11  稿源:雷锋网

在新冠疫苗的研发上,中国的科研团队再一次迈出了重要的一步。5 月 22 日晚间,国际学术期刊《柳叶刀》(The Lancet)在线刊登了由中国工程院院士陈薇团队研发的新冠病毒疫苗。结果显示,疫苗安全性良好,并在志愿者体内成功产生抗体。

同时,作者指出,尽管试验结果显示疫苗的良好前景,但还需要进一步对疫苗的有效性进行验证,谈论疫苗上市还为时尚早。

值得注意的是,这是中国首个新冠疫苗的人体临床数据结果,同时也是世界首个新冠疫苗人体临床实验论文。

负责该研究的陈薇院士表示:

“该试验表明,单剂量的新型腺病毒新冠疫苗可在14天之内产生病毒特异性抗体和T细胞,使其有可能进一步研究。”

“但是,应谨慎解释这些结果,开发新冠疫苗所面临的挑战是前所未有的,并且触发这些免疫反应的能力并不一定表明该疫苗将保护人类免受新冠病毒的侵害,这一结果只显示了开发新冠疫苗的希望,但距离所有人都能使用这种新冠疫苗,还有很长的路要走。”

初步证实安全有效

研制有效的疫苗被视为控制新冠病毒的长期解决方案。目前,全世界有 100 多种候选 COVID-19 疫苗正在开发中。

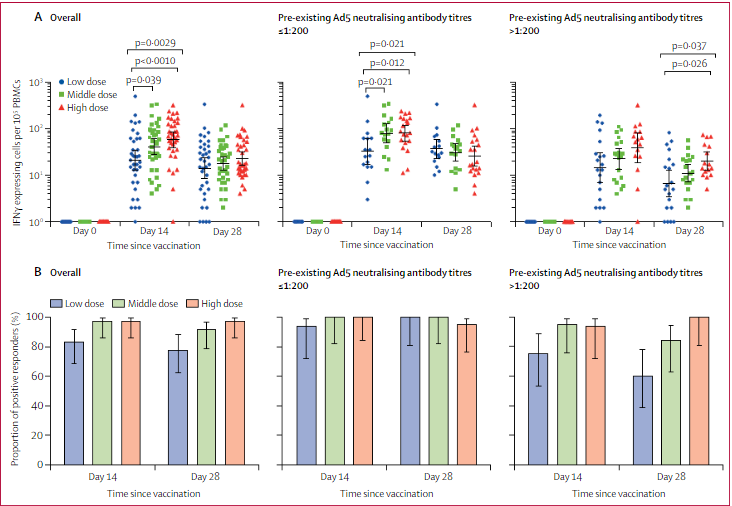
根据论文,这项研究是在 108 名健康成年人中进行的开放标签试验,对以腺病毒 Ad5 为载体的新冠疫苗进行评估:在接种疫苗后的第 14 天开始就发现了快速的特异性 T 细胞反应,并在第 28 天对 SARS-CoV-2 的体液免疫反应达到高峰,且未发现严重不良事件。

在 2020 年 3 月 16 日至 3 月 27 日期间,研究小组筛选了 195 名志愿者,其中 108 人( 51% 为男性,49% 为女性;平均年龄 36.3 岁)被招募并被分配到三个剂量组——低剂量组(5 x 1010)、中剂量组(1 x 1011)以及高剂量组(1.5 x 1011)。

在接种疫苗后的 28 天内,研究人员对疫苗进行安全性和有效性的评估,其中包括:

  • 接种疫苗后 7 天出现的不良事件;

  • 用 ELISA 法测定特异性抗体;

  • 通过 SARS-CoV-2 病毒及其假病毒的中和实验检测疫苗接种后诱导的中和抗体应答;

  • 采用酶联免疫斑点法和流式细胞术检测T细胞的免疫反应。

结果发现,接种后的前 7 天内均有不良反应报告,其中低剂量组 30 人(83%),中剂量组 30 人(83%),高剂量组 27 人(75%)。

最常见的注射部位不良反应为疼痛,共有 58 例疫苗接种者报告;最常见的系统性不良反应为发热( 50 例[46%])、疲劳( 47 例[ 44 %])、头痛 (42 例 [39%])和肌肉疼痛( 18 例[17%])。

所有剂量组报告的大多数不良反应的严重程度为轻度或中度,并且接种后 28 天内未发现严重不良事件。ELISA 抗体和中和抗体在第 14 天显著增加,并在接种后 28 天达到高峰(体液免疫);特异性 T 细胞应答在接种后第 14 天达到高峰(细胞免疫)。

也就是说,以腺病毒 Ad5 为载体的新冠疫苗在Ⅰ期临床试验中表现出良好的耐受性,且在人体内产生了针对新冠病毒(SARS-CoV-2)的免疫应答。但具体而言,这项研究的最终结果还将在 6 个月内进行持续性评估,仍需要进一步的试验来确定免疫反应能否有效预防 SARS-CoV-2 感染。

然而,尽管多次试验中表明,志愿者对新型腺病毒(普通感冒病毒载体/载体)疫苗存在一定的免疫反应,且抗体和 T 细胞反应均可以降低,但陈薇团队指出,参与该研究实验的 44%-56% 的志愿者,具有很高的既存免疫力(原先免疫力就非常强,跟疫苗无关),而且对疫苗的抗体和T细胞反应较弱。因此这一结果只是一个参考性质,需要更进一步进行大规模试验,进行深度分析评判。

因此,这个初步结果并不意味着 Ad5-nCoV 疫苗已经能够产生有效的免疫反应,让人免于病毒的攻击和侵害,而是指能够刺激人体免疫系统,产生初步的免疫反应。而它最大的价值是,证明这一疫苗值得继续研发下去,进入后续的 2-3 期临床试验,以全面检验其是否安全、是否有保护效果,以及最终是否能对人使用。

但无论怎样,这的确是一个振奋人心的好消息。

陈薇:疫苗有潜力被进一步研究、开发,但应谨慎解释试验结果

这一结果在业内迅速引起轰动。《柳叶刀》主编理查德·霍顿在社交媒体上赞叹:首次人体实验结果发现,它具有良好的安全性和耐受性,并且能够诱导快速的免疫反应。“这些结果代表着一个重要的里程碑”。

《柳叶刀》也通过其官方微博称:首个 1 期临床试验 COVID-19 疫苗是安全的且耐受性良好,并能在人体内产生针对 SARS-CoV-2 的免疫应答。本试验是在 108 名健康成年人中进行的开放标签试验,在 28 天后显示出了有希望的结果,最终结果将在 6 个月内进行评估。但仍需要进一步的试验来确定免疫反应是否能有效预防 SARS-CoV-2 感染。

网友们也纷纷送上祝福的声音:期待疫苗能早日研发成功!

但正如陈薇院士所说:“应谨慎解释这些试验结果。研发新冠疫苗所面临的挑战是前所未有的;即使该疫苗有能力触发前述免疫反应,也不一定意味着这种疫苗能帮助人们抵御新冠病毒。”

而据北京日报报道,该疫苗的 II 期人体临床试验已经于 4 月12 日启动,是当时全球唯一进入 II 期临床试验的新冠病毒疫苗。4 月 25 日,陈薇院士在“全国儿童预防接种日主题直播活动”上透露,新冠疫苗二期临床试验的 508 个志愿者已经注射完毕,正处于观察期,如果一切顺利,将在 5 月份揭盲。

尽管这次的试验结果还不能完全证明疫苗可研制成功,但这也是疫苗研制过程中非常关键的一步,我们期待后续更多好消息出现,期待新冠疫情能早日结束。

查看网友评论   返回完整版观看

返回上一页  首页 | cnbeta报时: 18:37:56

文字版  标准版  电脑端

© 2003-2026