随着无人机包裹交付方式的兴起,亚马逊、UPS、DHL 等企业已经对这项未来应用产生了浓厚的兴趣。然而德国马丁路德大学的一项新研究指出 —— 与城镇货车交付相比,无人机送货仍具有高昂的能耗成本。换言之,无人机对环境的影响力,或许要超过传统的货车。

亚马逊 Prime Air 无人机交付服务(图自:Amazon)
尽管多旋翼无人机是一项了不起的技术,但作为一款飞行器,其能源效率却非常低。
由于缺乏可在空中前进并产生生力的机翼,多轴飞行器必须在空中长时间保持近乎“垂直悬停”的姿势,此外多轴无人机的载重能力也有限。
除了在起飞时克服自重和货物的地心引力,机身稳定程序还需要充分考虑逆风等场景下的飞行,导致能耗的大幅增加。更别说每次只能携带一份包括,返程时空载也要预留不少的能量。
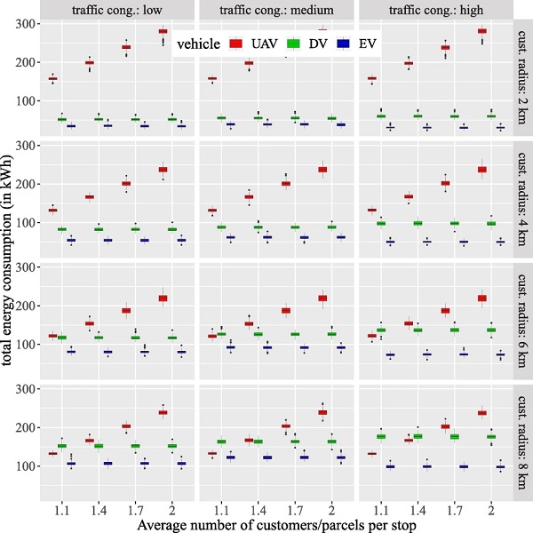
通过对城市和农村地区的交付量进行计算,马丁路德大学的研究人员将无人机与柴油和电动火车进行了比较,结果有了让他们感到十分惊讶的发现。
模拟数据表明,在人口稠密的城市地区,电动火车依然是迄今为止最节能环保的送货方式。此时柴油货车的能耗约是其五倍,无人机的能耗则是它的十倍左右。
显然,地区交付的人口密度,成为了无人机交付是否值当的一个关键因素。毕竟厢式货车每次可轻松运送数百件包裹,当路程短、载货多的时候,其能源的浪费就更少了。

有关这项研究的详情,可移步至 Science Direct 获取。
假设每辆货车都载有 100 个包裹,且每个包裹的重量为 2.5 公斤(5.5 磅),变得得到如上这份研究结果。
有趣的是,一旦步入人口稀疏的农村地区,随着各站点之间的行驶距离越来越远,货车就会逐渐失去大部分能耗优势。
当客户距离物流站点最多 8 公里(5 英里),且风速状况理想时,无人机的单次交付效率就开始比柴油货车更加高效了。
当然,除了能源的消耗成本,我们还要考虑其它因素,比如驾驶员的人力开支和货车的维护成本、发电所产生的污染比柴油燃烧排放更少、无人机的充电闲置等待时间等诸多因素。
不过从单纯的环境效益分析上来看,电动货车无疑仍是目前为止、以及未来很长一段时间内最合适的快速高效物流解决方案。