返回上一页  首页 | cnbeta报时: 14:33:13
[图]电子烟添加剂维生素E醋酸盐被发现可转化为有毒化学混合物
发布日期:2020-03-20 10:33:23  稿源:Win10s.COM

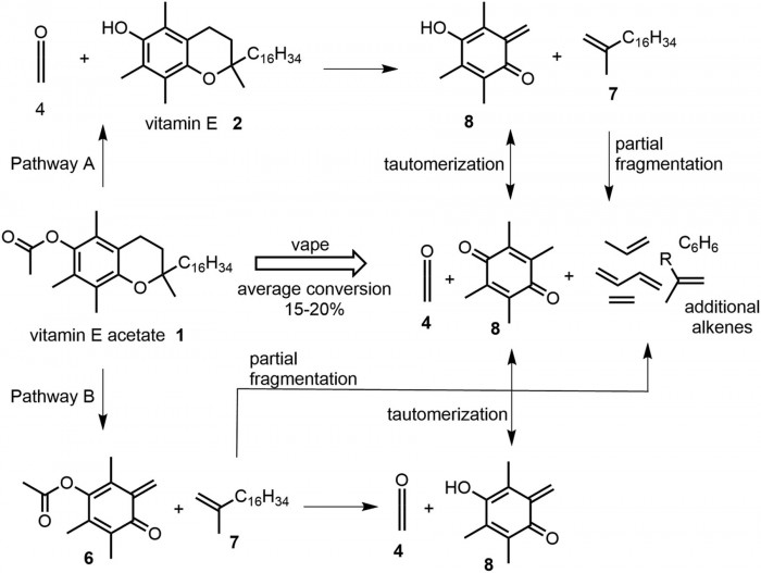
最新研究发现,电子烟烟油添加剂中维生素E醋酸盐(vitamin E acetate)不仅能够损伤肺部,还可以转换为有毒的化学混合物。来自都柏林皇家外科医学院的研究团队表示,维生素E醋酸盐有可能产生剧毒的乙烯酮气体。

这项研究的主要作者是丹·伍(Dan Wu)和多纳·奥谢(Donal O’Shea),相关论文发表在《美国国家科学院院刊》上。研究发现,加热维生素E醋酸盐可以产生致癌的烯烃和苯,而这些物质在医学领域被公认为对人体产生不良影响。

也就是说,单独加热或混合加热维生素E醋酸盐都会产生很多有毒和致癌的化合物。虽然还需要进一步的研究来确定这些化合物在人体肺部、血液等相互作用的潜在病理学,但是可以肯定的是,燃烧并吸入这些物质对人体存在巨大危害。

丹·伍和多纳·奥谢在论文中写道:“电子烟烟油中单个成分发生意外化学反应的可能性很高。由于公众越来越认为电子烟是无害的,因此现在需要加大宣传进行科学引导。”

查看网友评论   返回完整版观看

返回上一页  首页 | cnbeta报时: 14:33:13

文字版  标准版  电脑端

© 2003-2026