新冠肺炎爆发至今已两月有余,学者们对病毒源头的追溯也从未停歇。2 月 20 日,中国科学院西双版纳热带植物园通过官网发布研究成果信息称,武汉华南海鲜市场的新型冠状病毒是从其他地方传入的 ,推论此市场不是病毒发源地。而人际传播在可能 2019 年 12 月,甚至 11月下旬便开始了。
研究人员收集了截止 2 月 12 日全世界共享到 GISAID EpiFluTM 数据库的病毒数据,包括四大洲 12 个国家的 93 个新冠病毒样本。其中,来自湖北武汉的样本的取样截止日期为 1 月 5 日,全球样本的最晚取样日期是 2 月 3 日。
结论一:华南海鲜市场的新型冠状病毒是从其他地方传入的
通过全基因组数据解析,研究者发现收集到的 93 个样本包含 58 种单倍型(基因类型 haplotypes,即若干个决定同一性状的紧密连锁的基因构成的基因型),以超级传播者单倍型为中心,研究者将其归纳为 5组,它们共同构成一个病毒进化网络。5 个中心分别为 3 个古老超级传播者单倍型 H1 、H3 和 H13 ,以及 2 个新的超级传播者单倍型 H56 、mv2 。其中,H1 单倍型最多,其衍生单倍型也最多。单倍型演化网络显示,所有单倍型中,单倍型 H13 和 H38 可能是古老/祖先单倍型,它们可能通过一个中间单倍型与蝙蝠冠状病毒 RaTG13 相关联,由于目前的样品中没有第一例感染者的样本和 12 月初的早期感染者的样本,最初的古老/祖先单倍型可能还没有被发现。

而与华南海鲜市场有关联的患者样品的单倍型都是 H1 及其衍生的单倍型 H2 及 H8-H12 ,这表明市场在短期内存在传播感染。此外,有一份武汉样品单倍型 H3 与华南海鲜市场无关,研究人员认为,H1 及其衍生的单倍型可能起源于 H3 ,华南海鲜市场不存在新冠病毒原始来源,新冠病毒可能是从其它地方输入。此前的研究也显示,首先确定的受感染患者与市场没有联系,因而研究者认为可能是感染者将病毒传播给市场上的工人或卖方,然后迅速在市场上流通,拥挤的市场促进了病毒进一步传播给买家,并于 2019 年 12 月上旬传播开来。
这个研究也印证了此前 1 月 24 日发表在《柳叶刀》的研究结论,即追踪第一批 41 个确诊病例发现,这批最早在 12 月 1 日报告的病例中,总共有 13 个病例与海鲜市场无接触史。也就是说,病毒在进入海鲜市场之前就已经潜入武汉居民的生活中,但华南海鲜市场依旧是病毒扩散的“中介”之一。
结论二:新型冠状病毒或在 12 月初和 1 月 6 日左右发生过 2 次明显的种群扩张
此外,根据新型冠状病毒基因组数据推算 1 月之前的种群扩张发生时间是 12 月 8 日,该结果暗示病毒可能在 12 月初,甚至 11 月下旬即已经开始有人际传播,随后在华南海鲜市场加快了人际传播。研究推算 2 月份之前的种群扩张时间在 1 月 6 日,这个可能与元旦假期有关联。需要指出,这一天国家疾控中心发布了 2级应急响应。当时的预警起到了一些警示作用,公众活动和出行都有所减少。
如果当时的警示能引起大众更广泛的重视,那么1月份中下旬向全国和全球蔓延的病例会有所降低。研究人员进一步确认我国其他 9个省区和其他 11 个国家的感染病例基本都是从武汉直接或者间接输入而来。
结论三:现扩散的病例至少来自于 3 个途径
另外,为了能够细分来源,研究人员将 58 种单倍型分成了五组,采用标准是 3 个中心(古老超级传播者)单倍型(H1, H3 和 H13 )和 2个 新的超级传播者单倍型( H56 和 mv 2)。以此鉴别出广东的病毒可能有三个来源,重庆和台湾的病毒有两个来源。

其中,广东深圳一家人在早期就通过人传人进行了传播。有较多样本的澳大利亚、法国、日本和美国,他们的患者感染源至少有两个,尤其是美国包括了五个来源。
非常值得关注的是 H56 这个超级传播者单倍型,它同时是澳大利亚、法国和美国,以及我国台湾患者的传染源。其他国家患者因为样品比较少,大多数的来源比较单一,他们除了是武汉旅游输入或在武汉感染外,有一些人可能是在广东、新加坡等地被感染。
结论四,新冠病毒基因组尚未发生重组事件
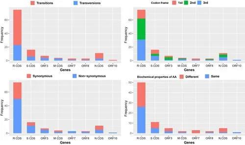
好消息是,研究人员发现新冠病毒基因组没有发生明显的重组事件。他们在 8 个蛋白质编码区发现了120 个核苷酸突变点位,基因组中的 10 个蛋白质编码区的突变点位均匀分布。
120 个突变的核苷酸关联了 119 个氨基酸密码子,其中 79 个密码子 ( 65.83% )改变了氨基酸类型,并有 42 个( 53.17% )氨基酸理化性质都被改变。目前研究者尚不清楚这些氨基酸类型以及理化性质改变是否会影响新冠病毒的活性,需要其他蛋白组学和结构生物学方面的专业人士进行验证。
美国或将是病毒源头?
诚然,确定海鲜市场是不是病毒发源地对于寻找病毒的来源,以及确定中间宿主,对疫情的控制和避免再次爆发具有至关重要的意义,但吃瓜群众们对病毒源头究竟是谁更为扑朔迷离。
日本朝日电视台昨日傍晚报道,宣称“ CDC 美国疾病管理预防中心发布惊人的消息,怀疑一万多的流感死亡人数中,有一部分是死于新冠肺炎的,检查体制有漏洞,已经开始新的检测方式,并呼吁有新冠症状的患者重新检查……”
网友们便开始猜测:难道幕后的黑手是美军?

但问题是,即便幕后黑手是美国,美国为什么要这么做呢?
按照网友们的猜测,美国来中国参加军运会时,美国正在爆发流感,最后一批最晚 11 月 15 日离开, 12 月底武汉就发现了受感染的新冠病毒患者,时间不可谓不巧合......但这似乎也不是我们应该怀疑美国的理由,毕竟,在真相出来之前,谁都不能妄下定论。
带着好奇心,雷锋网编辑也查询了 CDC 官方网站,我们发现在其最新更新的报告中有很多有关“很多病人患的 并不是流感”的内容,但部分人的流感病毒类型尚未确定,而 CDC 也并未指出,该类型尚未确定的流感病毒就是新型冠状病毒,也没有指出美国因流感死亡的人中,有人是死于患有新冠肺炎。当然,美国 CDC 也没有说过“美国流感可能掩盖了新冠病毒在美国的传播”。
此外,CDC 也在原文报道中称,现在是流感季,令发现/确诊新冠肺炎变得更加困难,因此 CDC 将与五个实验室合作,利用其现有流感监测网络来测试具有类流感症状的人是否有新冠肺炎,而上述措施只是为了预防流感更大范围的流行。
显然,日媒报道的这一新闻有“夸大其词”之嫌。