返回上一页  首页 | cnbeta报时: 06:21:46
家猫是否能够听懂自己的名字?新研究或给出答案
发布日期:2020-02-11 11:36:26  稿源:Win10s.COM

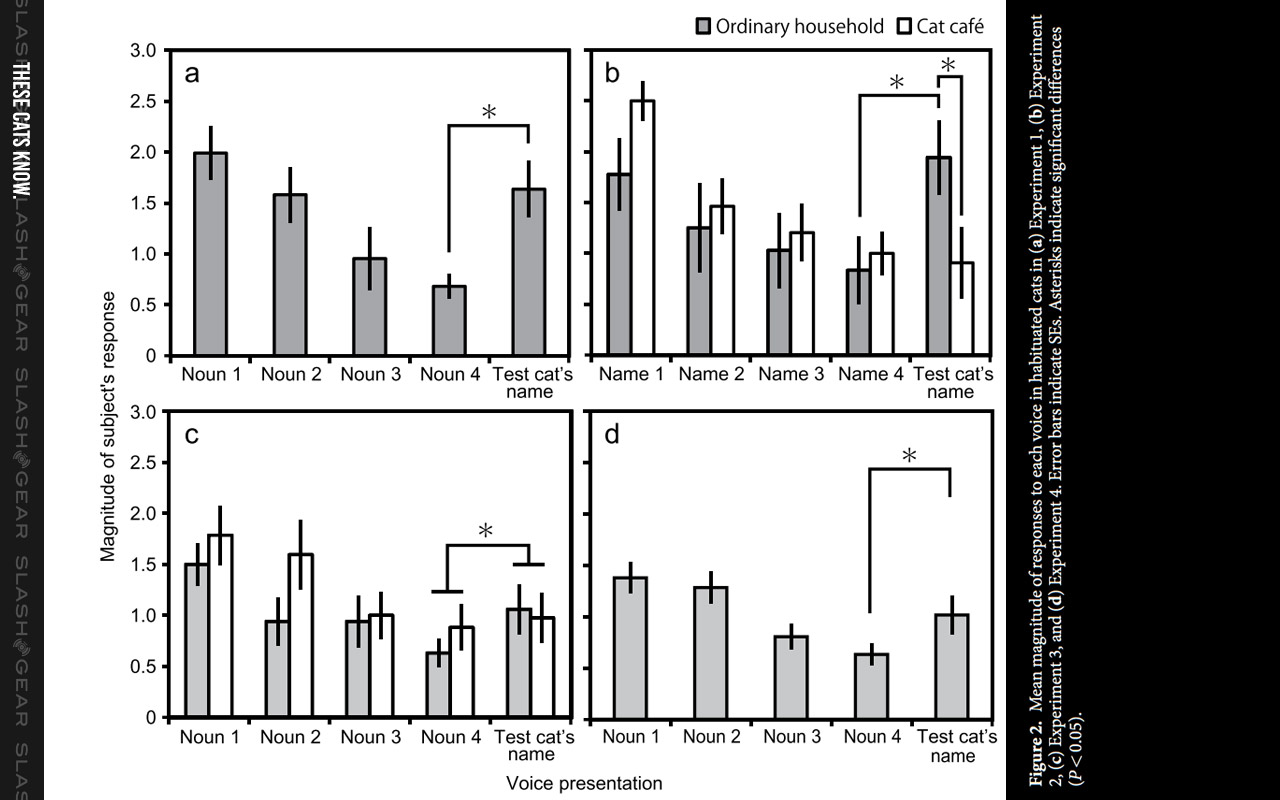
猫咪是否能够听懂自己的名字呢?近日科学家发表了一篇有关这个问题的论文。为了找到这个问题的答案,研究人员分析了来自“普通家庭”和猫咪咖啡馆的猫。

cattalk-1280x720.jpg

在研究的第一部分中,猫对人声的反应通常不是通过交流行为(发声和尾巴运动),而是通过定向行为(耳部运动和头部运动)来做出的。

测试中,研究人员先是让猫咪主人几次叫猫的名字,然后陌生人叫猫咪的名字,最后再让主人叫猫咪的名字。这些经过测试的猫对主人的名字表现出明显的回应,对陌生人称呼它们名字的回应略微减弱,然后当主人再次呼唤他们的名字时,再次表现出明显回应。

cafego.jpg

在实验的第二部分,测试包括几个名词。在某些情况下,这些名词是听起来像猫科动物名字的单词。在其他情况下,测试人员会使用与测试对象猫生活在同一空间中的其他猫的名字。测试表明,“猫可以根据音素差异来区分人的言语。”研究继续指出,“这种辨别力是在没有明确的辨别训练的情况下获得的,”而是“源于人与猫之间自然的日常交流方式。 ”

在过去的几年中,研究人员发表了两篇类似的论文,介绍了他们在猫追踪实验中发现的数据。其中一篇论文题为“家猫对主人声音的识别”,而另一篇论文题为“家猫能从其他词汇中分辨出自己的名字”。

研究人员过去也对犬科动物进行了类似的广泛测试。

查看网友评论   返回完整版观看

返回上一页  首页 | cnbeta报时: 06:21:46

文字版  标准版  电脑端

© 2003-2026