返回上一页  首页 | cnbeta报时: 01:48:12
新AI系统可通过无创ECG数据追踪人体血糖水平
发布日期:2020-01-14 16:10:43  稿源:Win10s.COM

据外媒报道,数十年来,无创血糖监测器一直是医学诊断设备研发领域的圣杯之一。从腕表到隐形眼镜,尽管出现了各种各样看似颇有前景的创新设备,但它们当中没有一种能在不伤害皮肤的情况下持续监测血糖水平。现在,来自华威大学的研究人员正在展示其最新的前瞻性技术,及利用人工智能(AI)从简单的心电信号中检测低血糖事件。

assets.newatlas.com.png

这项新研究的通讯作者Leandro Pecchia指出,手指采血从来都不令人愉快,在某些情况下还特别麻烦,比如说夜间或是面对儿童患者等情况,他们最新研发技术的创新之处在于能利用人工智能通过数次ECG跳动来自动检测低血糖,而ECG可以在任何情况下被检测到包括睡眠。

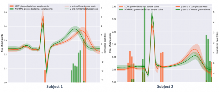
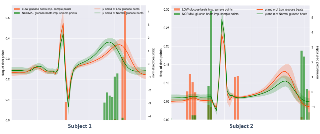
华威大学团队取得的关键突破是开发了一种能够学习单个病人ECG节律的AI系统。

如下图所示,两名受试者之间发出低血糖信号的ECG测量结果可能完全不同,这意味着唯一的出路是开发一种AI系统来检测每个患者的个性化波动。

对此,Pecchia指出:“上述突出的差异可以解释为什么先前使用ECG检测低血糖事件的研究失败了。”

研究人员表示,在健康的志愿者测试中,该系统能以82%的准确率检测到低血糖事件。

当然,这并不是第一个在早期试验阶段就被证明有效的无创血糖监测系统。接下来,研究人员还需要做大量的工作来验证和完善这项技术在更大患者群体中的应用。

查看网友评论   返回完整版观看

返回上一页  首页 | cnbeta报时: 01:48:12

文字版  标准版  电脑端

© 2003-2026