返回上一页  首页 | cnbeta报时: 07:29:59
[图]如果离太阳最近行星是巨大黑洞,那么地球会怎么样?
发布日期:2020-01-11 10:13:48  稿源:Win10s.COM

对于天文爱好者或者科学家来说,黑洞无疑是宇宙中最强大、最迷人和最恐怖的天体之一,它会吞噬附近所有的东西。如果在太阳系的正上方出现了一个黑洞,那么会发生什么情况?近日在意大利教育部、学校和研究中心担任要职的研究员洛伦佐·伊里奥(Lorenzo Iorio)创建了模型。

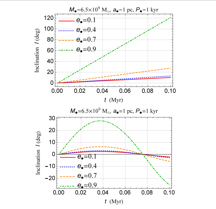
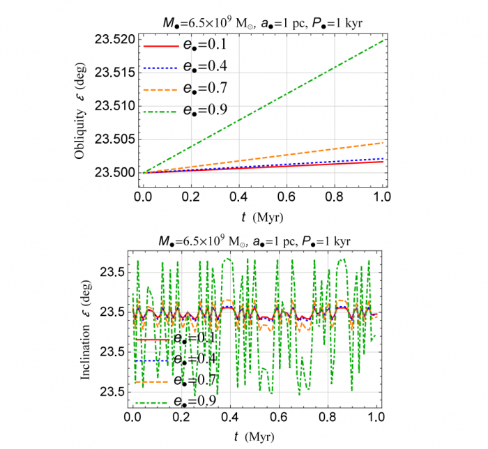
伊里奥表示,如果有一个地球般的行星绕太阳般的恒星运行,并且超大质量的黑洞距离恒星只有1个秒差距(宇宙距离尺度,等同于3.26光年),那么这个行星将无法生存。伊里奥的相关研究[PDF]将会发表在即将出版的《天体物理学杂志》上。

伊里奥表示:“如果按照目前地球的日心距进行计算,那么这颗行星可能在大约200至300万年之间影响到它的恒星。”在他构建的模型中,插入了超大质量黑洞M87的特性,这是人类在现实生活中唯一见过的黑洞,也就是Event Horizon Telescope去年发布的首张图像。

伊里奥强调说,他的模型过于简单,无法应用于我们星球或其他系统的历史。它仅考虑了黑洞,恒星和行星的存在,不包括在宇宙的实际动力学中起作用的许多其他物体。他希望这项工作可能适用于其他三重系统,甚至可能在我们的太阳系中寻找所谓的第九号行星。

查看网友评论   返回完整版观看

返回上一页  首页 | cnbeta报时: 07:29:59

文字版  标准版  电脑端

© 2003-2026