淡水生态系统排放的甲烷约占全球甲烷排放量的一半,而甲烷是一种导致全球变暖的强效温室气体。据信,其中很大一部分甲烷来自河流和溪流,但目前科学界还缺乏有关这些排放的全球速率和模式的全面数据。

包括威斯康星大学麦迪逊分校淡水生态学家在内的一个国际研究小组对全球流动水域甲烷排放的速率、趋势和原因进行了深入研究。他们的研究发表在《自然》杂志上,加深了我们对甲烷预测和气候变化模型的理解。此外,他们的研究结果还强调了潜在的土地管理调整和恢复项目,这些项目可以减少进入大气的甲烷量。
新研究证实,河流和溪流确实产生了大量甲烷,并在气候变化动态中扮演着重要角色。但这项研究也揭示了一些令人惊讶的结果,即甲烷是如何产生的,又是在哪里产生的。
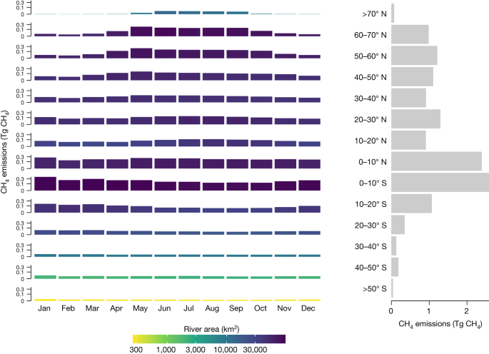
华盛顿大学麦迪逊分校湖沼学中心教授、《自然》报告的合著者艾米丽-斯坦利说:"我们预计热带地区的甲烷排放量最高,因为甲烷的生物生产对温度高度敏感。她说,相反,他们的研究小组发现,热带地区的甲烷排放量与北方森林--北半球以松树为主的森林--和北极苔原栖息地中寒冷得多的溪流和河流的甲烷排放量相当。"

事实证明,温度并不是驱动水生甲烷排放的主要变量。相反,研究发现,"无论纬度或温度如何,溪流和河流中甲烷的排放量主要受与之相连的周围栖息地的控制",斯坦利说。
北方森林和高纬度极地地区的河流和溪流通常与泥炭地和湿地相连,而亚马逊河和刚果河流域的茂密森林也为流经它们的水域提供了富含有机物的土壤。这两个系统都会产生大量甲烷,因为它们通常会导致微生物喜欢的低氧条件,而微生物在分解所有有机物的同时也会产生甲烷。
然而,并非所有高甲烷含量的河流和溪流都是自然排放的。在世界部分地区,淡水甲烷排放主要由城市和农村社区的人类活动控制。

报告的第一作者、瑞典农业科学大学和西班牙布拉内斯高级研究中心的博士后研究员杰拉德-罗歇(Gerard Rocher)说:"人类正在积极改变世界各地的河流网络,一般来说,这些改变似乎有利于甲烷排放。"
被人类严重改造过的栖息地--如农田排水沟、废水处理厂下方的河流或混凝土雨水渠--通常也会造成富含有机物、缺氧的环境,从而促进甲烷的大量产生。
罗切尔认为,人类参与的重要性可以被视为一个好消息。他说:"这一发现的意义之一是,淡水保护和恢复工作可以减少甲烷排放。"

减缓肥料、人畜粪便或过量表土等污染物流入河流和溪流,将有助于限制导致淡水系统甲烷高产的成分。从气候变化的角度来看,更需要担心的是人类创造的产生甲烷的环境,而不是甲烷产生的自然循环。
这项研究还表明,科学家团队努力汇编和研究巨大的数据集对于了解气候变化的范围非常重要。这项研究成果需要瑞典农业科学大学、于默奥大学、华盛顿大学麦迪逊分校和世界各地其他机构之间长达数年的合作。他们收集了多个国家河流和溪流中的甲烷测量数据,并采用了最先进的计算机建模和机器学习技术,"大规模扩展"了斯坦利早在2015年就开始与她的研究生们一起编制的数据集。
现在,斯坦利说:"我们对甲烷的估计更有信心了。研究人员希望他们的研究成果能让人们更好地了解地球大气中甲烷所有来源的规模和空间模式,并希望新数据能改善用于了解全球气候和预测其未来的大型模型。"