新南威尔士大学(UNSW Sydney)和圣文森特医院(St. Vincent's Hospital)的研究人员发现了一种参与炎症反应的关键途径,这种途径似乎在有"脑雾"症状的长期COVID患者中被激活。新陈代谢途径的确定可能会为那些因长期COVID而出现脑雾的人带来答案和新的治疗方法。

心理学院和医学与健康学院的科学家们发现,在128人的研究队列中,犬尿氨酸通路被长期激活的人更有可能在患COVID-19 12个月后出现轻度认知障碍。他们还发现,随着时间的推移,这些症状不太可能得到改善。
参与这项研究的患者患有轻度至中度急性COVID-19,并参加了盖尔-马修斯教授领导的纵向研究--圣文森特COVID-19 ADAPT研究。
这项研究的主要作者 Lucette Cysique 副教授说:"这项研究和 ADAPT 项目之前的一项研究共同表明,Long-COVID 脑雾与免疫反应失调有关。目前的研究特别发现,一个重要的代谢途径--犬尿氨酸途径--与我们在这组患者身上看到的认知变化有关"。
这项研究最近发表在《临床和转化神经病学年鉴》上,有助于证明因轻度急性COVID-19感染而长期患有COVID的人出现脑雾的根本原因是一种生物学变化。

"我认为,当患者带着脑雾去看医生时,可能会被当作心理问题。"Cysique 教授说:"我们的研究恰恰相反,Long-COVID 脑雾背后有真正的生物学机制。这一发现为识别和治疗长期慢性乙型肝炎对认知的影响以及长期慢性乙型肝炎患者提供了可能性。这些发现为将犬尿氨酸通路作为潜在的诊断和监测标记以及可能的治疗目标奠定了基础。"
世界卫生组织(WHO)汇编的现有证据表明,约有10%-20%的人在从最初的疾病中康复后会出现各种中长期影响。事实上,作为Long-COVID疾病谱的一部分,已经记录了200多种不同的症状。
"Long-COVID是一种多器官疾病,因此患者的多项身体功能都会受到不同程度的影响。这并不奇怪,因为免疫系统涉及所有身体功能,"Cysique 教授说。"不过,我们现在知道,除了疲劳之外,认知变化是与Long-COVID 相关的最常见症状。"
长期慢性阻塞性肺气肿患者的认知功能障碍最常见的表现是精神不集中或不清晰,或精神疲劳,与之前的能力相比,这种疲劳非同寻常,尤其是在完成认知要求较高的任务之后(例如阅读复杂的指令、参加需要高度集中注意力的会议、观看新颖而复杂的主题纪录片)。这与短期记忆问题、多任务处理困难或长时间注意力不集中有关。
正如 Cysique 教授所解释的那样,脑雾的最佳描述是持续数月的类似流感的身心疲劳,尽管会有一些波动。
Cysique 教授说:"只要稍加思考,我们都能想象到长期的流感样身心疲劳会对日常功能产生怎样的影响。而且,我们谈论的大多是工作年龄段的人。因此,这些类型的缺陷会在一定程度上影响工作效率,并可能造成大流行病的经济影响。"

监测 COVID 的长期影响
虽然这项研究只包括未接种疫苗的患者,但由于测试是在患者首次接种疫苗之前进行的,因此研究中的大多数人都因轻度感染 COVID-19 而长期患有 COVID。"接种疫苗后,许多人仍会出现轻微症状。因此,研究结果仍然具有现实意义,尤其是在再次感染的情况下,"Cysique 教授说。
作为 Cysique 教授研究的一部分,我们在 2 个月、4 个月和 12 个月时对这些人群进行了跟踪调查。"在每个阶段,患者都要接受大量的检查,包括心理健康、身体健康和认知健康,患者还要接受四次各种血液生物标志物的检测"。
研究小组根据以往在其他传染病中研究犬尿氨酸通路的经验,决定研究犬尿氨酸通路的激活情况。此外,去年发表在《自然-免疫学》(Nature Immunology)上的一篇论文也是 ADAPT 研究的一部分,该论文显示犬尿氨酸途径的免疫前体与持续性胸部和疲劳症状有关。
Cysique教授说:"虽然这项最新研究是一项队列研究,其中的一些因素仍未测量,但有证据表明犬尿氨酸途径在长期COVID和相关脑雾中的重要性,这种证据的汇聚并非偶然。"
基础机制的发现
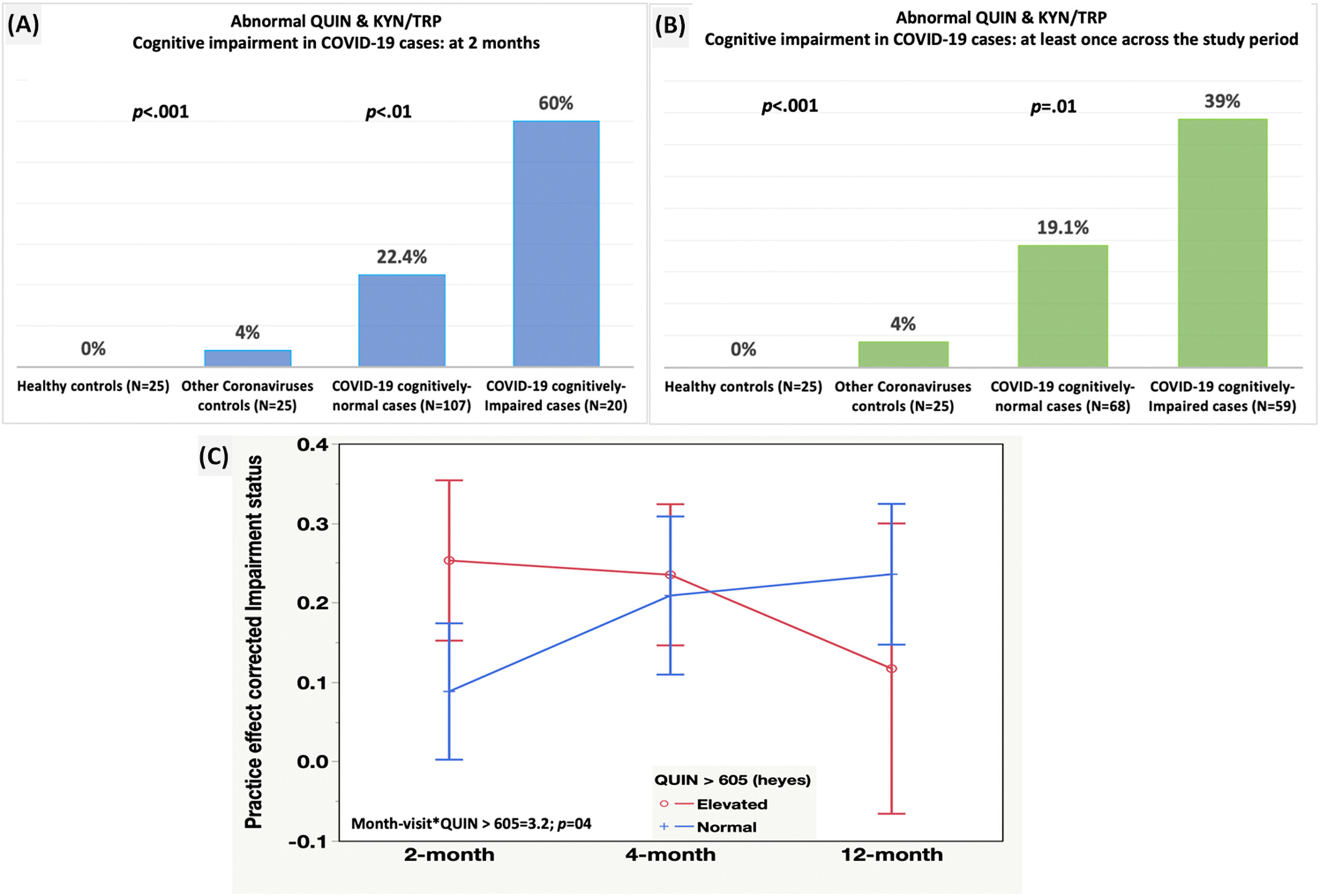
她的团队发现,在犬尿氨酸通路激活最活跃的两个月时,60% 表现出轻度认知障碍(如注意力/集中力和处理速度)的人显示出犬尿氨酸通路的异常激活--异常意味着高于同年龄参考样本的已知异常水平。
"随着免疫反应的发生,激活犬尿氨酸通路的时间平均为四个月,这比正常时间要长得多。由于犬尿氨酸途径具有促炎作用,包括大脑在内的整个身体都会长期充斥着炎症产物。我们知道犬尿氨酸途径会影响中枢神经系统,"Cysique 教授说。
值得注意的是,其他血液生物标志物、性别或临床因素(如原有的或与 COVID 相关的精神健康状况、疾病严重程度或呼吸功能以及嗅觉)都与认知能力无关。
影响和未来方向
2023 年 4 月,作为Long-COVID 议会调查的结果,政府宣布为Long-COVID 提供新的研究资金。这表明,政府认识到长期慢性阻塞性肺气肿是一个需要紧急解决的严重问题。
这项研究为进一步研究潜在的生物标志物和未来的治疗方法打开了大门,为那些患有Long-COVID的人提供了帮助。Cysique教授说:"Long-COVID诊所里仍然挤满了病人,医院也仍在努力解决这个问题。"我们希望我们的研究能给Long-COVID患者带来一些希望"。
研究小组迫切希望继续推进他们的研究,将研究对象扩大到接种过疫苗的患者,并在感染日期后的 24 个月内继续开展调查。研究人员还与荷兰的一个研究小组取得了联系,他们也发现KP的长期激活与COVID-19的脑部变化有关,并希望启动一项试验。