密歇根医学院的一项研究发现,2型糖尿病患者患病时间越长,大脑结构发生变化的可能性就越大。在一项涉及51名确诊患有2型糖尿病的中年皮马美洲印第安人的分析中,研究人员采用了美国国立卫生研究院工具箱认知电池(NIH Toolbox Cognitive Battery)--这是一套由美国国立卫生研究院创建的记忆和语言评估工具--并结合核磁共振成像扫描来了解糖尿病、认知功能和大脑组成之间的联系。

密歇根医学院的一项研究发现,2 型糖尿病患者患病时间越长,大脑结构就越容易发生变化,如皮质厚度和灰质体积减少。尽管糖尿病患者和非糖尿病患者在认知能力上没有明显差异,但糖尿病的慢性肾病和血管损伤等并发症与这些脑部变化有关。
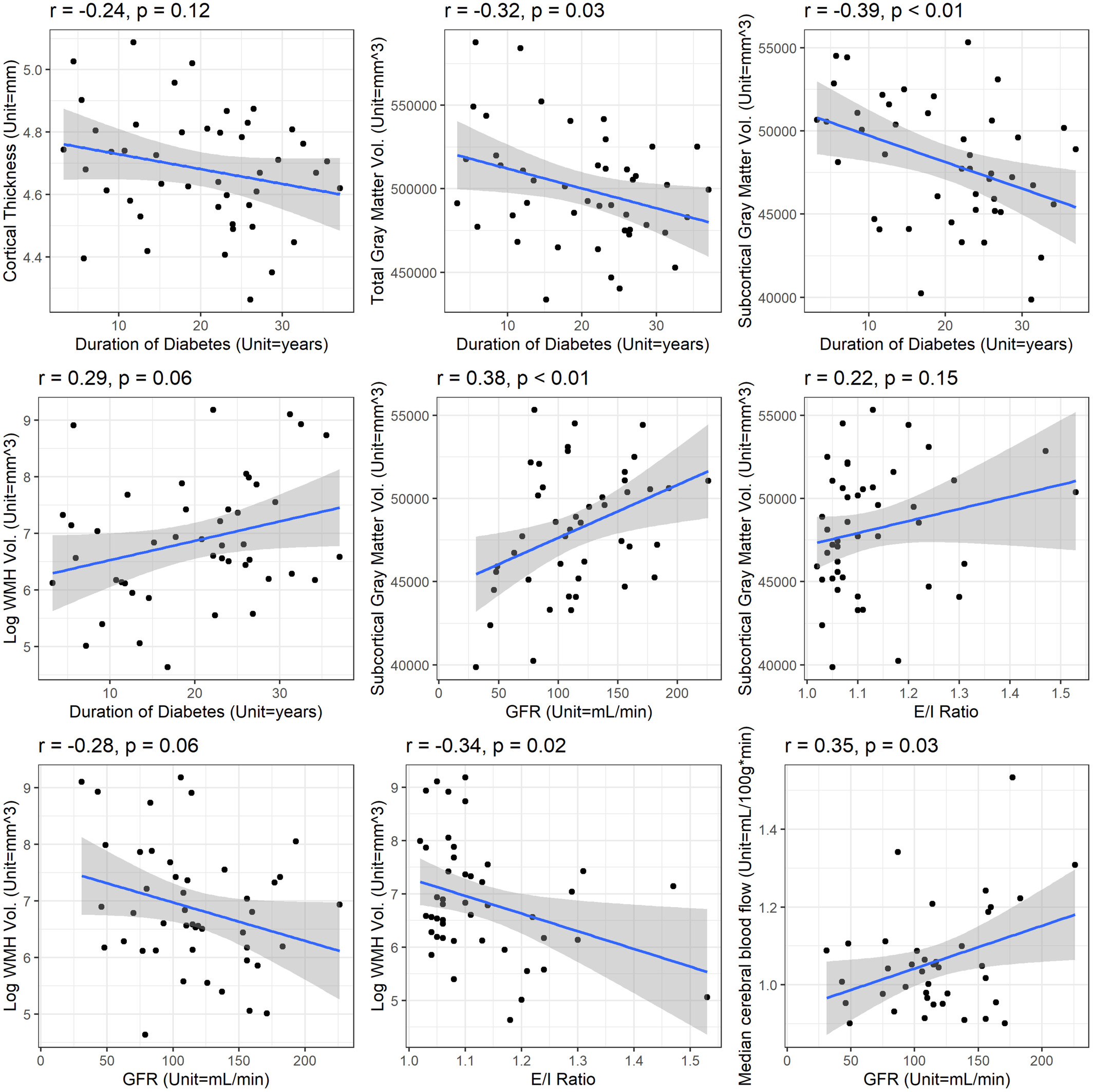
脑成像结果表明,患有2型糖尿病时间较长的研究参与者的平均皮质厚度和灰质体积减少,白质过度密集的体积增加。
研究人员说,核磁共振成像结果表明,长期糖尿病可能会对大脑健康产生负面影响,并强调了预防早发2型糖尿病的重要性。2型糖尿病患者的认知能力与非2型糖尿病患者相比没有差异。研究结果发表在《临床和转化神经病学年鉴》上。
第一作者、密歇根医学院新兴疗法神经网络研究员兼首席统计学家埃文-雷诺兹博士说:"这是首次发现大脑结构的改变与糖尿病持续时间有关。虽然我们通过美国国立卫生研究院工具箱没有发现认知能力下降,但这可能并不能说明问题的全部。我们看到大脑本身发生了负面变化,这为早期筛查2型糖尿病患者的认知障碍以改善患者护理和生活质量提供了证据。"
研究人员还发现,糖尿病并发症,如慢性肾病、心脏和血管神经损伤,与大脑结构变化有关。这与研究小组的另一项研究结果不谋而合,该研究发现,在40至60岁的人群中,糖尿病并发症会使患认知障碍的几率增加2.45倍。
令研究人员感到惊讶的是,高达50%的糖尿病患者会受到神经病变的影响,但在这项研究中,神经病变却与认知功能无关。
"这项研究对我们了解糖尿病如何影响大脑健康至关重要,并为一项更大规模的纵向研究奠定了基础,这项研究将探讨糖尿病患者如何保持大脑健康,"研究的资深作者、密歇根大学詹姆斯-W-阿尔伯斯特聘教授、密歇根大学医学院罗素-N-德容神经学教授、密歇根医学院新兴疗法神经网络主任、医学博士伊娃-费尔德曼说。
"无论其潜在机制如何,预防2型糖尿病患者出现这些症状对于保持大脑健康至关重要。向公众宣传糖尿病对保持大脑健康所带来的风险,是我们的使命之一"。