最近,北京大学和牛津大学人口健康研究中心的研究人员合作开展了一项研究,揭示了中国男性易患的60种与饮酒有关的疾病。这项题为"中国男性饮酒与200多种疾病的风险"的研究发表在著名的《自然-医学》杂志上。

酒精消费对全球健康构成了重大威胁,以往的研究强调了酒精消费与肝硬化、中风和各种癌症等疾病的密切联系。然而,由于缺乏对特定人群饮酒的整体医疗影响的系统调查,研究人员开展了这项研究。
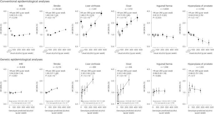
为了开展研究,研究小组利用了中国嘉道理生物库(CKB)的数据,这是一个综合性数据库,包含了2004年至2008年间在中国各地招募的51.2万多名成年人的信息。该数据库不仅包含重要的健康信息,还包括有关参与者生活方式选择的详细访谈,包括他们的饮酒模式。在长达 12 年的时间里,研究人员追踪了医疗诊断,并进行了基因分析,以确定酒精摄入量与疾病发展之间的因果关系。
这项研究的结果不仅证实了世界卫生组织之前提出的 28 种与酒精有关的疾病,还发现了另外 33 种可归因于饮酒史的疾病,包括痛风、白内障、某些骨折和胃溃疡。
北京大学李黎明教授是 CKB 的资深作者和共同第一作者,他强调了中国加强酒精控制政策的必要性,并指出:"中国的酒精消费水平正在上升,尤其是男性。这项大型合作研究表明,中国需要加强酒精控制政策"。
牛津大学人口健康理查德-佩托流行病学教授陈正明教授强调了该研究的因果证据对全球预防策略的重要意义。他说:"这项研究为酒精相关危害的规模提供了重要的因果证据,这对不同国家的预防策略至关重要。"