伦敦大学学院(UCL)的研究人员最近进行了一项研究,结果表明,与对照组相比,注入牛奶中的蛋白质--酪蛋白的绷带能明显改善大鼠的伤口愈合。这项研究最近发表在《界面》(Interface)杂志上,是首次评估酪蛋白对动物模型愈合功效的实验。令人鼓舞的研究结果表明,酪蛋白是一种具有抗菌特性的低成本、易获得的物质,有可能取代银等昂贵材料用于伤口敷料。

酪蛋白是一种存在于哺乳动物乳汁中的蛋白质,在牛奶中含量最高,高达 80%。近十年来,人们对酪蛋白的抗菌、抗氧化和抗炎特性及其作为高蛋白膳食补充剂的作用越来越感兴趣。
在这项研究中,加州大学洛杉矶分校的研究人员将纯酪蛋白与聚己内酯(PCL)(一种生物可降解聚酯,常用作绷带材料)混合。他们使用一种名为加压回旋的技术将这种混合物纺成类似绷带的纤维,并用这种纤维制成了注入酪蛋白的绷带。如果采用电纺丝等其他更昂贵的制造方法,就不可能做到这一点。
皮肤上有相同小穿孔的大鼠被分成三组。第一组的伤口使用注入酪蛋白的绷带,第二组使用普通 PCL 绷带,第三组不使用绷带。



分别在 3 天、7 天、10 天和 14 天后,通过对伤口进行拍照和测量,以及在显微镜下进行检查,检查伤口的愈合进度。
研究小组发现,14天后,使用注入酪蛋白绷带的伤口愈合到原来大小的5.2%,而使用普通绷带组的伤口愈合到原来大小的31.1%,未使用绷带组的伤口愈合到原来大小的45.6%。
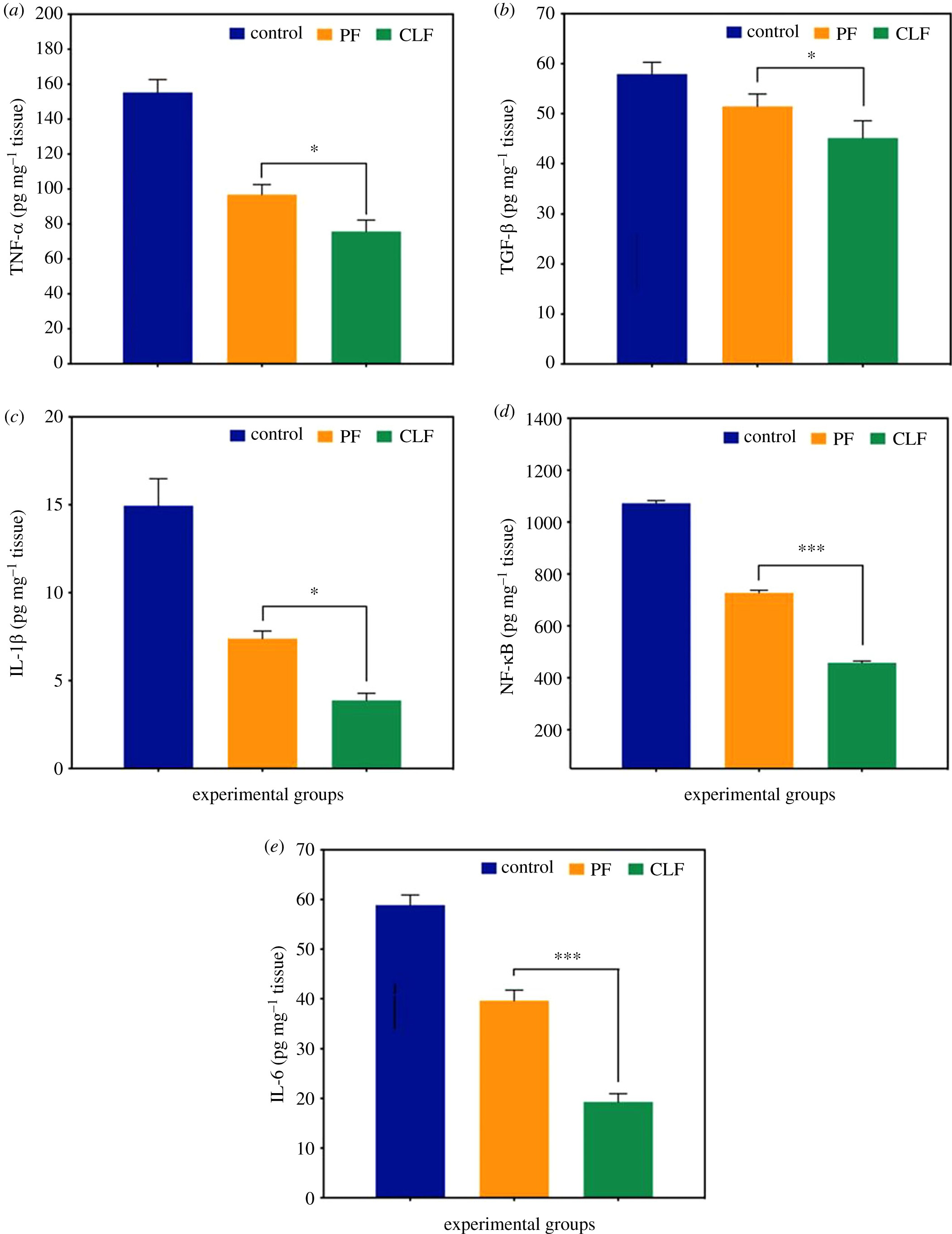
分析还证实,酪蛋白绷带是无毒的,用酪蛋白绷带处理过的伤口周围的免疫相关分子水平要低得多。
该研究的第一作者朱拜尔-艾哈迈德博士(UCL 机械工程)说:"天然材料具有一些奇妙的特性,其中许多特性尚不为人知。我们知道酪蛋白被认为有愈合伤口的功效,我们的研究结果表明,酪蛋白在伤口敷料等医疗应用方面有很大的潜力。要确保酪蛋白敷料对人体安全有效,还需要做更多的工作,但这些初步研究结果很有希望。"
鉴于酪蛋白是脱脂奶的废品,如果它被批准用于人体治疗,将是一种相对廉价的材料,可以规模化生产。然而,天然物质的化学成分和效力可能各不相同,如果要在临床上使用酪蛋白,就必须解决这个问题,因为一致性是安全有效治疗的关键。


该研究的资深作者莫汉-埃迪里辛格(Mohan Edirisinghe)教授说:"迄今为止的所有研究都表明,酪蛋白具有伤口愈合的潜力,但目前我们还不清楚其中的详细原因。酪蛋白具有抗菌和消炎特性,这肯定是其中的一个原因。下一步将是了解发生的生物相互作用,然后才能考虑在人体中进行临床试验。"