宇宙中第一代星系是如何形成的?暗物质的性质是什么?这两大谜团能否同时通过天文观测进行研究揭秘?最近,我国天文学家提出,通过测量21厘米森林的一维功率谱,未来的平方公里阵列射电望远镜(SKA)将能够同时揭秘宇宙第一代星系和暗物质的性质。相关研究发表在国际学术期刊《自然·天文》上。

探测21厘米森林一直面临极大挑战
宇宙中存在大量的中性氢气体。这些气体中的氢原子在基态能级超精细结构之间的跃迁,会产生电磁波波长为21厘米的线辐射,也就是中性氢21厘米线。
中性氢21厘米线为天文学家探索宇宙提供了巨大的机遇。“中性氢21厘米线为探测宇宙黎明与第一代星系提供了独一无二的手段。同时,利用中性氢21厘米谱线探测宇宙黎明与再电离也是平方公里阵列射电望远镜最重要的科学目标之一。”论文共同通讯作者、中国科学院国家天文台研究员陈学雷说。
同时,宇宙早期各种结构及其周围的氢原子气体会在高红移射电点源的光谱上产生密集的21厘米吸收线。“这些吸收线丛,被天文学家形象地称为21厘米森林。”陈学雷说,多年来,探测21厘米森林一直面临极大挑战。

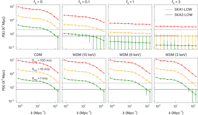
“主要原因有两方面:一是21厘米森林信号微弱,并且探测它所依赖的宇宙黎明时期的射电亮源难以获取;二是21厘米森林信号同时受到第一代星系加热效应和暗物质性质的影响,因此在观测上我们很难区分这两种效应。这就使得21厘米森林探测难以实际用于限制第一代星系的加热效应或暗物质的性质。”论文共同通讯作者、中国科学院国家天文台副研究员徐怡冬解释。
近年来,已经有一批高红移射电噪的类星体被发现,而且平方公里阵列射电望远镜也进入了工程建设阶段,开展21厘米森林探测已迫在眉睫。
在这项研究中,我国天文学家提出了一种原创性的统计测量方案,使得21厘米森林不仅能够限制宇宙第一代星系的性质,还可以同时测量暗物质粒子的质量。
新方法有望拓展人类对宇宙的认知




“我们意识到由第一代星系的加热效应和温暗物质引起的信号变化,在光谱上的尺度分布特征存在明显不同。通过一维功率谱分析,我们未来可以从统计上区分这二者。”徐怡冬介绍。
“21厘米森林的一维功率谱确实可以成为一箭双雕的宇宙学探针,它为揭开暗物质和第一代星系之谜提供了一种极有前景的新途径。”论文共同通讯作者、东北大学教授张鑫强调。
针对此研究,加拿大圆周理论物理研究所教授凯瑟琳·麦克评论道:“这项研究提出了一种有趣的方法,能够利用21厘米森林功率谱同时限制宇宙X射线对星系际介质的加热,以及温暗物质的可能效应这两种现象。虽然以前的研究已经检查了21厘米森林作为星系际介质探针的可能性,但将温暗物质效应作为一个独立信号包含进来,则为未来的观测提供了一个新的科学目标。”
《自然·天文》的编辑团队也针对这项研究发表了评论:“我们宇宙的最远处总是极为神秘,由于被尘埃、吸收光的原子和中间介质中的气体阻挡而很难直接观测。这项研究将吸收转化为一种优势,利用它打破了其他方法所遭遇的不同效应的简并,并可用于阐明早期宇宙的结构形成。”
研究人员表示,这一突破性方法的发展对于解开暗物质和宇宙早期天体形成的奥秘具有重要意义,并将进一步推动我们对暗物质的理解,揭示宇宙结构形成及演化的过程。通过更深入的观测和分析,我们有望在不久的将来获得关于暗物质性质和早期星系形成的更多见解,进一步拓展我们对宇宙的认知。