人们通常认为冬季是自杀率最高的季节,与此相反,春季和初夏才是自杀行为的高峰期。自从发现这一现象以来,科学家们一直对此感到困惑。诺丁汉大学心理学院的研究人员与阿姆斯特丹大学和哈佛大学合作,对自杀念头的季节性路径进行了研究,确定了一年中自杀念头的高峰期以及一天中自杀念头最严重的时间。
研究结果发表在《自然-转化精神病学》(Nature Translational Psychiatry)杂志上。


在长达六年的时间里,研究人员从英国、美国和加拿大的1万多人中收集了答案,这些人通过隐性健康项目数据库(PIH)完成了有关其情绪、想法以及自杀和自残念头的问卷调查和任务。
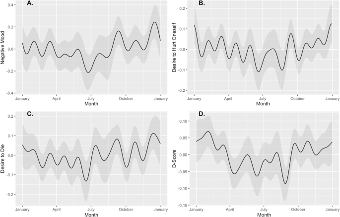
研究人员布莱恩-奥谢(Brian O'Shea)和勒内-弗雷谢尔(René Freichel)的研究表明,自杀念头实际上在冬季(12月)最为强烈,他们还建立了一个概念模型,说明为什么自杀行为需要几个月才能达到"临界点"。他们还发现,凌晨4点至6点是人们最容易自杀的时间段。此外,他们还发现,在长达6年的研究期间,消极的自残认知普遍增加。
诺丁汉大学的Brian O'Shea博士领导了这项研究并解释说:"有资料表明,冬季是有心理健康问题的人可能会因情绪恶化和抑郁而挣扎的季节,事实上,季节性情感障碍是一个公认的与季节变化有关的问题,它影响着许多人的心理健康。因此,人们可能会感到惊讶的是,春天这个你会认为人们情绪高涨的季节,实际上却是一年中人们最有可能自杀的季节。造成这种情况的原因很复杂,但我们的研究表明,自杀念头和情绪在12月最严重,在6月最好。在这两个时间点之间,自杀行为的风险增加,我们认为出现这种情况的原因是,他们的情绪和精力的逐渐改善可能使他们能够计划和进行自杀企图。自我和他人情绪改善速度的相对比较是互补的可能性,需要进一步测试。"

研究人员创建了在线任务来研究显性和隐性自残认知的时间动态,显性认知通过有关情绪、自杀和自残的直接问题(使用标准的1-5级量表)来研究。内隐认知则通过一项反应时间任务进行探究,在这项任务中,人们需要将与自我有关的词语与死亡和生命词语进行实时分类。
样本中的受访者来自三组:(1)曾经自杀未遂者;(2)有自杀意念和/或非自杀性自伤行为;(3)以前没有自伤、自杀想法或行为)。研究人员发现,在这六年中,消极的自残认知普遍增加,情绪和死亡欲望具有季节性效应,特别是在那些曾经自杀未遂的人中。
研究结果表明,显性和隐性自杀认知的高峰期在冬季,而自杀未遂和自杀死亡的高峰期在春季。12月达到高峰的显性自杀认知先于2月达到高峰的隐性自残联想。这两个高峰都先于春季/初夏的自杀行为高峰。在24小时内也观察到了类似的滞后效应,显性自杀认知和情绪在凌晨4-5点达到高峰,而隐性认知则滞后于这一高峰。
O'Shea博士补充说:"这项研究首次在如此大的范围内观察情绪和自残想法的时间趋势,并真正确定了干预最有益的时间"。