新研究表明大麻可以缓解“化疗脑”。科罗拉多大学博尔德分校的新研究表明,使用大麻来控制症状的癌症患者不仅可以减轻疼痛并提高睡眠质量,还可以享受另一个意想不到的好处:连续使用几周后,他们的思维似乎更加清晰。

“当你承受很大的痛苦时,你很难思考,”资深作者、科罗拉多大学博尔德分校心理学和神经科学教授、癌症幸存者安吉拉·布莱恩 (Angela Bryan) 说。 “我们发现,当患者在使用大麻一段时间后疼痛水平下降时,他们的认知能力也会提高。”
这项小型但具有开创性的研究最近发表在《医学探索》杂志上,是第一个评估在药房柜台购买的大麻(而不是政府提供的或合成的大麻)如何影响癌症症状或化疗副作用的研究之一。
该研究还探讨了癌症患者使用的各种产品,因为它在大多数州都是合法的。
调查显示,多达 40% 的美国癌症患者使用大麻,但只有三分之一的医生愿意向他们提供相关建议。
研究它很复杂,因为联邦法律禁止大学研究人员拥有或分发大麻用于研究,除非它是政府发行的或制药级的。 因此,大多数研究只关注大麻隆或屈大麻酚(通常用于治疗恶心)等处方产品或政府大麻品种,这些产品的效力往往较弱,并且缺乏多种非处方药。
该研究小组采取了不同的方法。


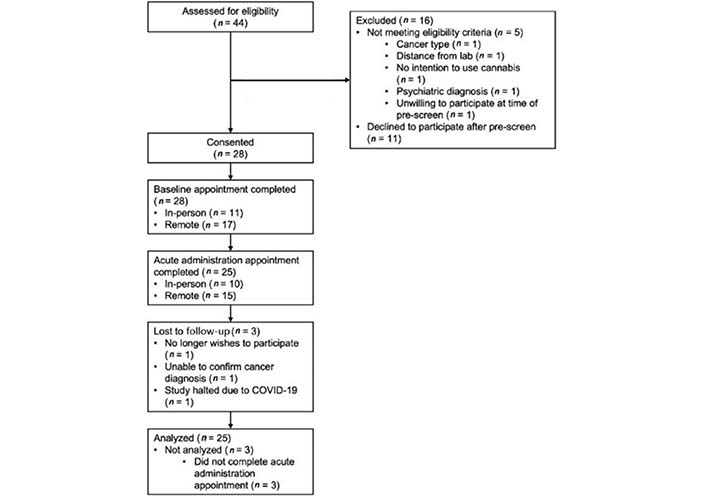
Bryan 与 CU Anschutz 医学校区的肿瘤学家合作,观察了 25 名使用大麻超过两周的癌症患者。
在对他们的疼痛程度、睡眠模式和认知进行基线预约评估后,他们被要求从药房购买他们选择的可食用产品。 选择多种多样,涵盖 18 个品牌,包括巧克力、软糖、酊剂、药丸和烘焙食品,并且含有不同比例、不同功效的 THC 和 CBD。
布莱恩说:“这告诉我们,人们愿意尝试任何他们认为有用的东西,但没有太多数据来指导他们什么最适合什么。”
为了研究严重影响,研究人员有一天开着一辆“移动实验室”(一辆道奇短跑货车,有时被称为“cannavan”)到每个患者的家中。 参与者在货车中接受身体和认知评估,然后在家中使用大麻后在货车中重新进行测试。
按照他们选择的频率持续使用两周后,他们还进行了后续检查。
研究发现,一小时内,大麻显着缓解了患者的疼痛,同时也损害了他们的认知,让他们感觉“兴奋”(四氢大麻酚含量越高,他们感觉越高)。但从长远来看,出现了不同的模式:持续使用两周后,患者报告疼痛、睡眠质量和认知功能有所改善。 认知功能的一些客观指标(包括反应时间)也有所改善。
布莱恩说:“我们认为我们可能会发现一些认知功能问题。”他指出,大麻和化疗之前都与思维受损有关。 “但人们实际上感觉他们的思考更加清晰。”
人们的疼痛减轻得越多,他们的认知能力似乎就改善得越多。那些摄入更多 CBD(一种已知的抗炎药)的人报告睡眠质量和疼痛强度有更大的改善。尽管需要进行更大规模的对照研究,但作者表示,这些发现提出了一个有趣的可能性:虽然用于缓解疼痛的某些形式和剂量的大麻可能会在短期内损害思维,但从长远来看,某些疗法可能会通过减轻疼痛来改善认知。
布莱恩多年来一直在研究癌症预防,2017 年,当她的工作生活和个人健康与乳腺癌的诊断发生冲突时,她刚刚开始研究药用大麻的使用。手术和化疗后,她寻求大麻来缓解疼痛。“医生非常支持我想做的事情,但他们不知道该告诉我什么,”她说。 “只是没有数据。”
由于担心使用阿片类药物,她创建了自己的定制方案,在疼痛剧烈时使用更有效的 THC 重产品,她可以牺牲一些精神敏锐度,并使用更温和的 CBD 重产品来控制疼痛。她并非没有疼痛,但在治疗期间她没有服用任何阿片类药物。“我非常幸运,因为我对此有一些了解。 大多数患者没有,”她说。她希望她的研究以及未来的更多研究能够帮助人们做出更好的决定。