空气污染会影响你的心脏吗?最近的研究涉及对中国322个城市的全面研究,发表在《加拿大医学会杂志》(CMAJ)上,表明急性暴露于空气污染有可能增加心律失常或不规则心跳的风险。

在全球范围内,估计有5970万人患有常见类型的心律失常,如房颤和房扑,这可能演变成更严重的心脏病。虽然人们知道空气污染是心脏病的一个可控风险因素,但它与心律失常的联系迄今还没有得到一致的证据。
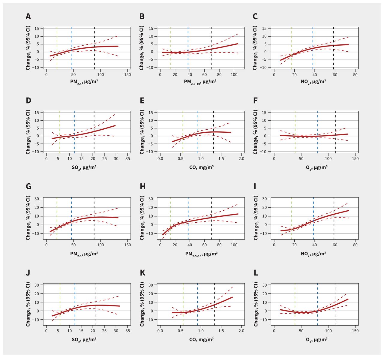
为了确定两者是否存在联系,中国研究人员利用来自322个中国城市的2025家医院的数据,评估了每小时接触空气污染和心律失常症状的突然发生。中国的空气污染远高于世界卫生组织的空气质量指南,研究人员利用离报告医院最近的监测站的空气污染物浓度进行分析。

"我们发现,急性暴露于环境空气污染与症状性心律失常的风险增加有关,"中国上海复旦大学公共卫生学院的陈仁杰博士和合作者说。"这些风险发生在暴露后的最初几个小时,并可能持续24小时。6种污染物和4种心律失常亚型之间的暴露-反应关系大约是线性的,没有可辨别的浓度阈值"。
该研究包括190115名急性发作的症状性心律失常患者,包括心房颤动、心房扑动、早搏(起源于心脏的心房或心室)和室上性心动过速。
暴露于环境空气污染与心房扑动和室上性心动过速关系最密切,其次是心房颤动和早搏。此外,在6种污染物中,二氧化氮(NO2)与所有4种类型的心律失常有最强的关联,而且暴露越多,关联越强。
作者写道:"尽管确切的机制还没有被完全理解,但我们观察到的空气污染和心律失常的急性发作之间的关联在生物学上是合理的。一些证据表明,空气污染通过诱导氧化应激和全身炎症,影响多种膜通道,以及损害自律神经功能,改变了心脏电生理活动。"
作者指出,这种关联是直接的,并强调了在严重空气污染期间保护高危人群的必要性。他们总结说:"研究增加了空气污染对心血管不利影响的证据,强调了进一步减少接触空气污染和及时保护全世界易感人群的重要性。"