每天运动超过68 min,糖尿病患病风险可降74%!对于糖尿病患者及高风险人群,坚持运动的重要性不言而喻!世界卫生组织建议,每天至少进行30 min的中等强度体育锻炼,以预防2型糖尿病(T2DM)。
然而,该建议几乎完全基于使用自我报告身体活动的研究,不仅存在主观性的偏倚,且运动时间与T2DM之间的剂量反应相关性并不明确。此外,这些研究也忽略了遗传风险与身体活动对T2D的相互作用。
近日,上海交通大学医学院、华中科技大学同济医学院、悉尼大学公共卫生学院联合在BMJ子刊《英国运动医学杂志》发表研究称,在校正了遗传风险的情况下,中等至高强度运动与T2DM患病风险降低显著相关,此外,遗传风险较高的人群从中等至高强度运动中获益更大。
这是一项探索加速度计测量的运动量与T2DM发生风险之间关系同时考虑遗传风险的前瞻性研究。

图片来源:Br J Sports Med
重要结果抢先看
与运动最少的参与者相比,运动最多的参与者发生T2DM的风险降低80%;校正遗传风险后降低68%。
与每天运动不到5 min的参与者相比:
每天运动5~26 min,T2DM患病风险降低37%。
每天运动26~68 min,T2DM患病风险降低59%。
每天运动超过68 min,T2DM患病风险降低74%。
研究人员分析了UK Biobank数据库中的59325例参与者,基线平均年龄为61岁,男性占44%。通过给参与者佩戴加速度计收集了运动量;通过应用多基因风险评分来估计遗传风险。
在平均6.8年的随访期间,研究人员分析了参与者运动量与其患T2DM风险之间的关系,共记录了884例T2DM发生。
就整体运动量而言,与运动最少的参与者相比,运动最多的参与者发生T2DM的风险降低了80%。即使校正了遗传风险,总运动量与T2DM发生风险之间的负相关关系仍然显著,运动最多的组发生T2DM的风险降低68%。

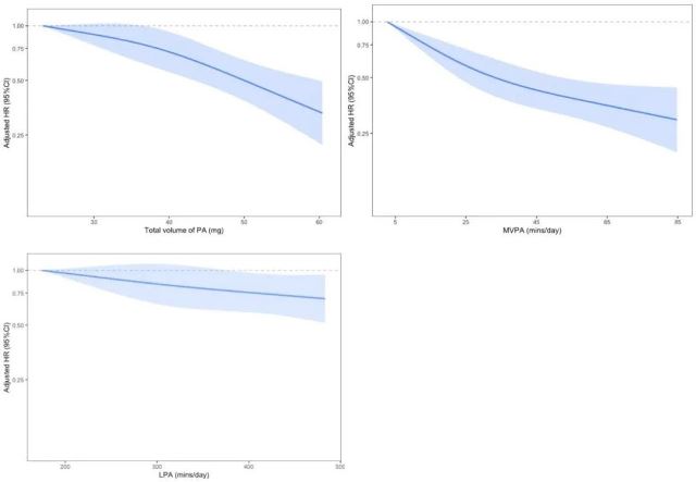
不同运动强度与2型糖尿病发生风险呈负相关性
进一步细化研究发现,中等至高强度运动与T2DM发生风险相关性最强,且运动时间越久,T2DM发生风险越低。

运动时间越久,T2DM发生风险越低
(注:LPA为低强度运动;MVPA为中等至高强度强度运动)
根据遗传风险分层,研究发现,中等至剧烈运动和遗传风险评分之间存在显著的相加交互作用,这表明遗传风险较高的人群从中等至高强度运动中获益更大。
与遗传风险低但运动最少的参与者相比,具有高遗传风险但运动量最大的参与者,患T2DM的风险相对更低。

中等至高强度运动与T2DM的多基因风险评分之间的关系
综上,该前瞻性研究结果证实了中等至高强度运动预防T2DM的有效性,强调了运动对T2DM预防的重要性,特别是对于那些具有高遗传风险的人群。
该研究改变了既往研究思路(自我报告运动量),采用加速度计来量化参与者特定强度的运动量,避免了主观偏倚性,同时考虑了遗传风险。
此外,该研究还发现运动量与T2DM之间的线性关系没有最大和最小值,也就是说预防T2DM可能没有“最佳量”。这些发现为未来的指南制定和预防T2DM的干预措施提供了证据支持:坚持运动,特别是中等至高强度运动有助于预防T2DM。对于具有高遗传风险的人群,中等至高强度运动应作为T2DM预防的优先策略加以推广。
(来源:中国医学论坛报今日内分泌)
原文出处:Luo M, Yu C, Del Pozo Cruz B, et al. Accelerometer-measured intensity-specific physical activity, genetic risk and incident type 2 diabetes: a prospective cohort study. Br J Sports Med. 2023 Jun 5:bjsports-2022-106653. doi: 10.1136/bjsports-2022-106653. Epub ahead of print. PMID: 37277158.
链接:https://pubmed.ncbi.nlm.nih.gov/37277158/