怀俄明大学的一项新研究表明,在与COVID-19等传染病的斗争中,频繁的诊断测试和自我隔离可能比关闭学校和企业更有效。该研究结果最近发表在《科学报告》杂志上。这项研究是由华盛顿大学经济系的教师--斯蒂芬-纽博尔德、大卫-芬诺夫、杰森-肖格伦和琳达-汤斯特伦,以及最近的博士毕业生麦迪逊-阿什沃思进行的。
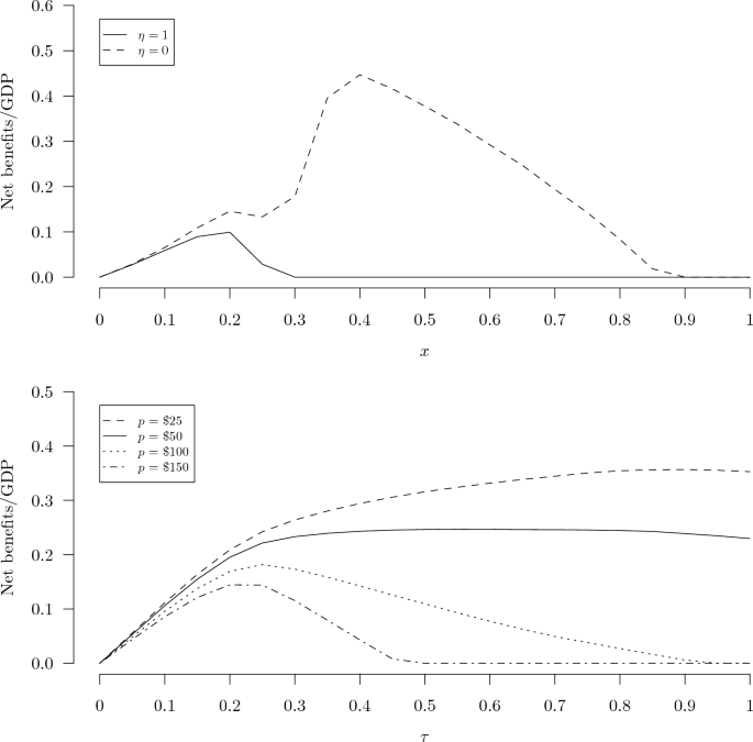
该团队设计了一个流行病学和经济模型,以评估在面对突如其来的大流行病时,与促进定期检测和自我隔离的政策相比,身体距离的强制规定的有效性。他们发现,在大多数情况下,当涉及到减轻COVID-19或类似疾病的影响时,随机测试的策略往往比物理隔离更成功。



研究人员写道:"美国最初试图用一种控制组合来对抗(COVID-19)的传播,这种组合重在物理距离和口罩,轻在自我隔离的定期诊断测试,"他们指出,前者包括在家工作的要求,学校和企业关闭,以及旅行限制。"然而,这些同样的措施也导致了就业减少,收入损失,以及由于长期退出经济活动和缩减社会交往而产生的各种不利的身体和精神健康影响。"
虽然一些研究人员和公共卫生专家已经进行了研究,表明测试和自我隔离会比大规模封锁更有效,但华盛顿大学的研究是第一个考虑到"超级传播"概念的研究--在这种情况下,大量的人通过少数受感染的人接触到一种病原体。
华盛顿大学的研究人员还使用了各种不同的模型,研究了两种防治疾病爆发的方法的经济效益和成本以及健康结果。该研究考虑了诊断测试的错误率、自我隔离的符合率、测试的成本,以及因物理距离或隔离而损失的经济生产力。
研究人员承认,在疾病爆发的情况下,政府的政策应该侧重于通过积极的行动来抑制疾病,还是通过不太积极的措施来减缓疾病的传播,并没有明确的答案--显然,微妙的差异可能导致一种方法在任何特定情况下都比另一种方法表现更好。
然而,该研究的主要意义集中在物理距离与测试的相对表现上。
经济学家写道:"我们发现,对于类似于SARS-CoV-2的原始毒株的流行病,在我们的模型中,在广泛的可信条件下,随机测试与自愿自我隔离的优化策略可以提供比物理距离策略更高的净收益,"他们补充说,纳入超级传播的概念使得测试-隔离的方法甚至比物理距离授权更有效。