暗物质的难以捉摸的性质仍然是粒子物理学中最大的谜团之一。到目前为止,大多数的搜索都是在寻找一个"弱相互作用"的暗物质粒子与一个已知的标准模型粒子一起产生的事件。由于暗物质粒子不能被ATLAS探测器看到,研究人员寻找横向动量的不平衡(或"失踪能量")。

ATLAS合作组率先对半可见射流进行了搜索,这是强相互作用的暗部门中的暗夸克和胶子产生的潜在暗物质标志。尽管存在挑战,也没有直接的发现,但这项新颖的研究为半可见射流的产生设定了第一个限制,为未来更细微的暗物质搜索铺平了道路。

ATLAS合作组织首次对半可见射流进行了搜索,这是暗物质粒子存在的一个潜在标志。据推测,这是在两个质子相互作用时发生的,产生一个中间粒子,然后转化为两个射流。资料来源:ATLAS合作组织/欧洲核子研究中心
然而,一些理论模型预测了一个"强相互作用"的暗部门,暗夸克和胶子是标准模型夸克和胶子的复制。当暗夸克部分衰变为标准模式的夸克,部分衰变为稳定的暗强子("不可见部分")时,就会产生半可见的喷流。由于它们是成对产生的,通常与额外的标准模型射流一起产生,所以当所有的射流都不完全平衡时,就会产生缺失的能量。缺失能量的方向往往与其中一个半可见的射流相一致,正如在上面的事件显示中可以看到的那样。

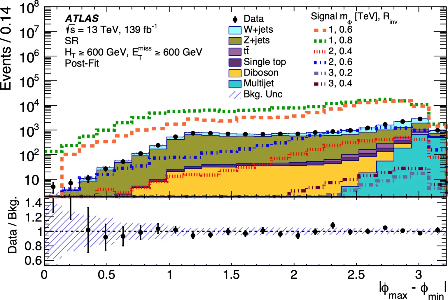
ATLAS物理学的暗物质隐藏在显而易见的地方,数据、背景和六个预测的信号分布覆盖了一个有代表性的介体质量和不可见分数的范围,对两个半可见射流候选人的方位角差异进行了重叠。观察到数据和背景之间有很好的一致性。资料来源:ATLAS合作组织/欧洲核子研究中心
这使得对半可见射流的搜索非常具有挑战性,因为这种事件特征也可能由于探测器中错误测量的射流而产生。对于他们的新搜索,物理学家必须确保所有这些影响都被考虑在内。为了做到这一点,他们把注意力集中在几个观察指标上:横向动量的排列和大小的唯一性,以及半可见射流之间的角度。他们还研究了具有不同不可见部分和中介粒子质量的情况。
在考虑了所有有助于这一事件拓扑结构的标准模型过程后,研究人员没有发现半可见射流的暗示。从上图可以看出,该图显示了两个半可见射流候选者之间的角度差异,数据遵循了标准模型的背景形状。预计暗物质信号的形状会略有不同。
搜索半可见射流非常具有挑战性,因为它的事件特征也可能由于探测器中错误测量的射流而产生。
这项新的成果为这种特定的半可见射流产生情况设定了第一个限制,如下图所示,是介子质量和不可见部分的函数。在不可见部分的中间值上,搜索更加敏感,并排除了高达2.7TeV的介子质量。研究人员还能够报告观察到的与事件选择要求相对应的数据事件的数量。这为未来搜索暗物质奠定了重要的基础,使物理学家能够建立考虑到这一特征的现有约束的半可见射流模型。

半可见射流信号的预期和观测排除等值线,在X轴上是介体质量的函数,在Y轴上是不可见部分。红色实线左侧的介体质量在给定的不可见分数下被排除。资料来源:ATLAS合作组织/欧洲核子研究中心
还有很多东西需要探索! ATLAS的研究人员计划系统地研究来自强暗部门景观的所有可能的迹象,随着ATLAS实验继续增加其庞大的数据集,它将提供新的探索机会和新的选择,以扩大对半可见射流的搜索。