新的研究表明,老年人的肌肉力量下降和运动迟缓可能是晚年痴呆症的高风险信号。在临床实践中纳入简单、廉价的肌肉功能测试,如握力和定时起立测试,可以帮助识别高风险人群,并有可能通过初级预防计划预防痴呆症。
随着年龄的增长,人们普遍认为我们的肌肉力量会下降,我们的动作会变慢,使日常活动如起身、走路和坐着变得更具挑战性。然而,埃迪斯科文大学(ECU)最近的研究表明,这种肌肉力量和活动能力的下降也可能是一个与衰老有关的更不祥的健康问题的指标:痴呆症。

为了研究肌肉功能和痴呆症之间的关系,来自ECU营养与健康创新研究所和精准健康中心的研究团队利用珀斯妇女老龄化纵向研究的数据,对1000多名平均年龄为75岁的妇女进行了研究。
该团队与西澳大利亚大学合作,测量了妇女的握力和她们从椅子上站起来、走三米、转身、再坐下所需的时间--即所谓的定时起身(TUG)测试。
这些测试在五年后被重复进行,以监测任何性能的损失。
在接下来的15年里,参与研究的妇女中几乎有17%被发现有痴呆事件,被归类为与痴呆症有关的住院或死亡。
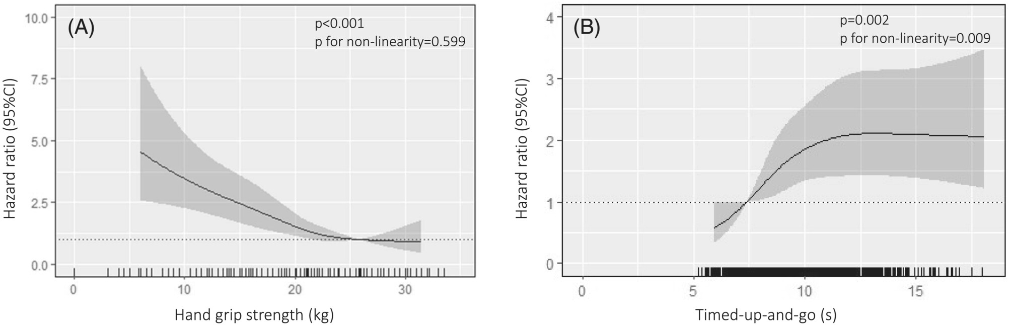
研究小组发现,较低的握力和较慢的TUG是出现痴呆症的重要风险因素,独立于遗传风险和生活方式因素,如吸烟、酒精摄入和身体活动水平。


关系确立
握力最弱的女性被发现比最强壮的人患晚年痴呆症的可能性高一倍以上。
在TUG表现和痴呆症之间也出现了类似的关系,在TUG测试中速度最慢的人比速度最快的人患痴呆症的可能性高两倍多。
当研究人员观察五年后握力和TUG测试结果的变化时,性能的下降也与更大的痴呆症风险有关。
那些在握力和TUG速度方面下降幅度最大的人,与那些成绩下降幅度最小的人相比,发生痴呆症的可能性分别约为2倍和2.5倍。
TUG表现下降幅度最大的女性被发现与痴呆症相关的死亡的可能性是最快者的四倍多。
一个早期预警
高级研究员马克-西姆博士说,握力可以很容易地用一种被称为测力计的手持设备来测量,由于认知和运动衰退的重叠性,它可能是大脑健康的一个衡量标准。
Sim博士说:"可能是由于一系列潜在的相似性,握力也可能作为心血管疾病、炎症和虚弱的代用指标,这些都是已知的痴呆症风险因素,"。这项研究的结果可以帮助卫生专业人员更早地识别病人的痴呆风险。
他说:"握力和TUG测试在临床实践中并不常见,但两者都是廉价和简单的筛选工具。将肌肉功能测试作为痴呆症筛查的一部分可能有助于识别高风险人群,然后他们可能会从旨在预防该病症发病的初级预防计划中受益,例如健康饮食和积极的生活方式。激动人心的发现是,这些措施的下降与大幅提高的风险有关,这表明如果我们能够阻止这种下降,我们可能能够预防晚年痴呆症。然而,在这个领域还需要进一步的研究。"
精准健康中心主任西蒙-劳斯教授说,在识别痴呆症的早期预警信号方面已经取得了令人鼓舞的进展。
他说:"我们现在开始看到一些简单但具有指示性的筛查评估,这些评估可以与其他生物和临床措施相结合,为前往全科医生处就诊的个人提供一个整体的风险概况,例如,记忆方面的问题。"