我们预计空气污染会对肺部产生负面影响,而研究已经证明了这一点。然而,新的研究表明,空气污染也会影响心脏,并可能导致称为心律失常的节奏紊乱。中国研究人员使用来自全国322个城市的2025家医院的数据来评估每小时暴露于空气污染的情况,并检查其对心律的影响。

心律失常是由错误的电传导引起的,因此心脏的跳动不协调,心脏不能有效地泵血。目前的研究考察了四种常见的心律失常的发生率:房颤(AF),即心脏的上腔(心房)快速而不规则地跳动;心房扑动,即心房泵血过快;心房和心室(下腔)产生的早搏;以及,室上性心动过速(SVT),一种源于心室上方的比正常更快的心率。
这项大型研究包括190115名急性发病的有症状的心律失常患者。疲劳、虚弱、头晕、昏厥、呼吸短促和胸痛是常见的心律失常症状。
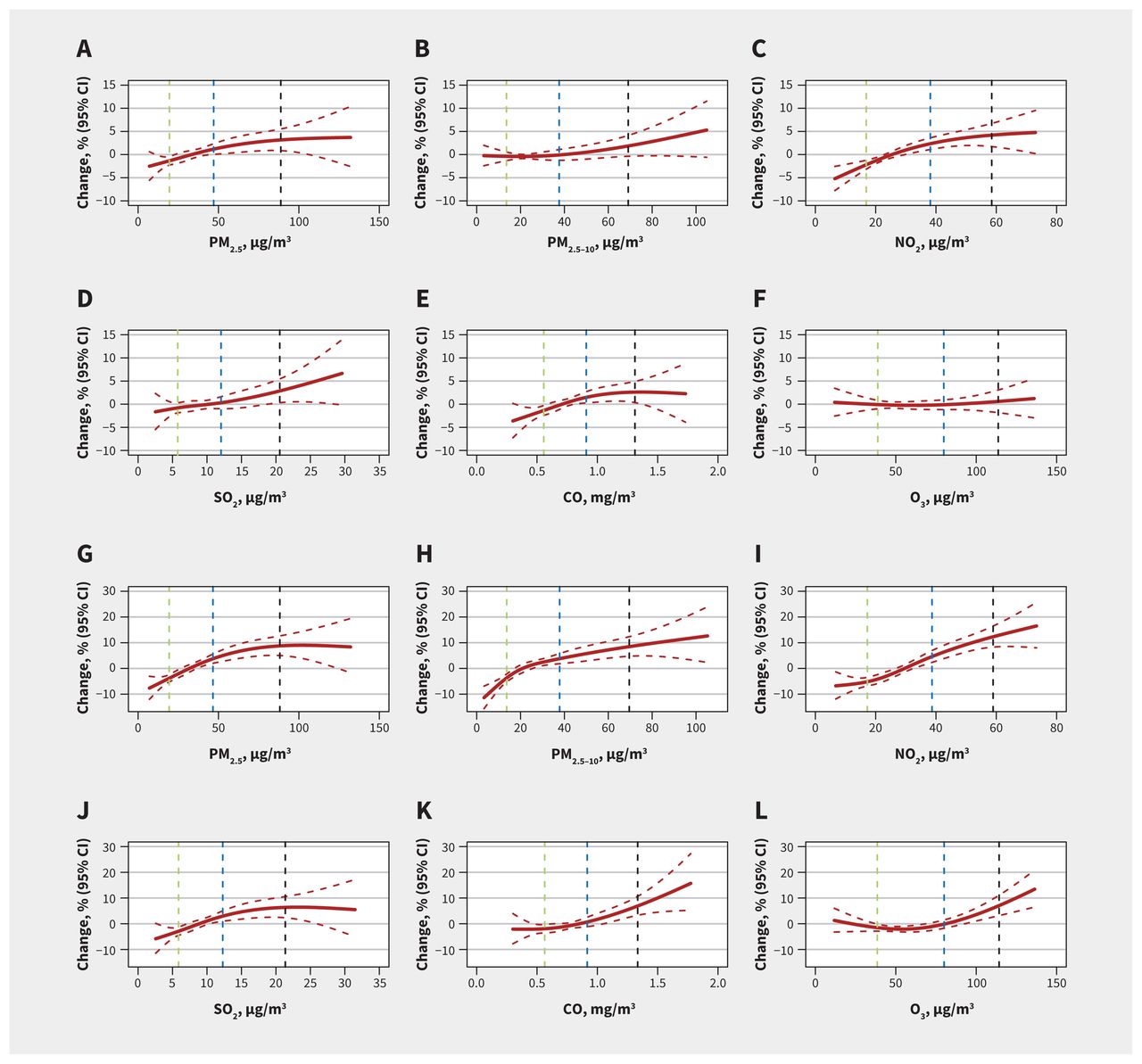
利用医院附近空气污染监测站的数据,他们研究了六种污染物:细颗粒物、粗颗粒物、二氧化氮、二氧化硫、一氧化碳和臭氧。细颗粒物或颗粒物(PM2.5)是2.5微米或更小的可吸入的微小颗粒,包括灰尘、烟尘和烟雾。粗颗粒物(PM10)是2.5至10微米宽的颗粒,如花粉、孢子、植物和昆虫的部分。臭氧是雾霾的主要成分之一。
通过分析数据,研究人员发现暴露于空气污染和心律失常的发生率之间存在联系。


该研究的共同作者之一陈仁杰说:"我们发现,急性接触环境空气污染与症状性心律失常的风险增加有关。这些风险发生在暴露后的最初几个小时,并可能持续24小时。
他们发现,接触环境空气污染与心房扑动和SVT关系最密切,其次是房颤和早搏。二氧化氮与所有四种心律失常的关联最强,接触时间越长,关联越强。二氧化氮排放的最大贡献者是机动车。研究人员将进行进一步的研究以确定这种关联的基础是什么。尽管确切的机制还没有被完全理解,但观察到的空气污染和心律失常的急性发作之间的关联在生物学上是合理的。
中国的空气污染主要是由人口增长和对化石燃料的严重依赖造成的。2022年,中国的PM2.5平均浓度是世界卫生组织(WHO)指导值的六倍多。但中国并不孤单,根据美国环境保护局(EPA)的数据,在2021年,大约有6700万吨(6080万吨)的污染被排放到美国的大气中,主要是对臭氧和颗粒物浓度的贡献。而尽管在改善空气质量方面取得了进展,在同一年,全美国有超过1亿人生活在污染水平超过建议的国家环境空气质量标准(NAAQS)的县。
尽管他们的研究是在一个以空气污染水平高而闻名的国家进行的,但研究人员说,这些发现适用于全世界。该研究增加了空气污染对心血管不利影响的证据,强调了进一步减少接触空气污染和及时保护全世界易感人群的重要性。
该研究发表在《加拿大医学协会杂志》上。