根据发表在《普通精神病学》(General Psychiatry)杂志上的一项研究,中年妇女如果与伴侣、朋友或工作同事有令人满意的关系,那么她们在年老时患多种长期健康状况的风险可能会降低。研究结果表明,这些关系越不令人满意,风险就越高。虽然收入、教育和健康行为等因素部分地促成了这一结果,但这些发现并不能完全由这些因素解释。

越来越多的证据表明,强大的社会网络与老年人的整体健康和福祉之间存在关联,但目前仍不清楚这些联系是否能减少多种长期疾病(多发病)的风险,这是许多老年妇女面临的一个共同问题。
为了评估妇女对其关系--伴侣、家庭、朋友、工作同事和其他社会关系--的满意度在多大程度上可能影响这种风险,研究人员利用了澳大利亚妇女健康纵向研究(ALSWH)的13714名参与者的汇总数据。
ALSWH是一项正在进行的基于人口的研究,研究与1996年年龄在18-23岁、45-50岁和70-75岁的妇女的健康和幸福有关的因素。目前研究中的所有妇女在1996年都是45-50岁。他们的健康和福祉大约每三年通过问卷调查被追踪一次,直到2016年。
她们被要求对自己对5类关系的满意程度进行4分制排名,每个回答最多得3分。并要求他们说明是否患上以下疾病:糖尿病;高血压;心脏病;中风;慢性阻塞性肺病(COPD);哮喘;骨质疏松症;关节炎;癌症;抑郁症和焦虑症。从零开始累积2个或更多,或从1个或2个或更多的附加条件,被定义为拥有多种条件(多发病)。研究人员收集了可能有影响的人口统计学、生活方式和荷尔蒙因素的信息:出生国、婚姻状况、居住地区、教育程度和管理收入的能力;体重(BMI)、身体活动、酒精摄入和吸烟;以及绝经状态。

最后的分析包括7694名妇女,其中58%(4484人)在20年的监测中积累了多种长期疾病。那些这样做的人更有可能教育程度较低,觉得靠收入生活很困难,超重/肥胖,不爱运动,吸烟,并有手术诱发的绝经期。
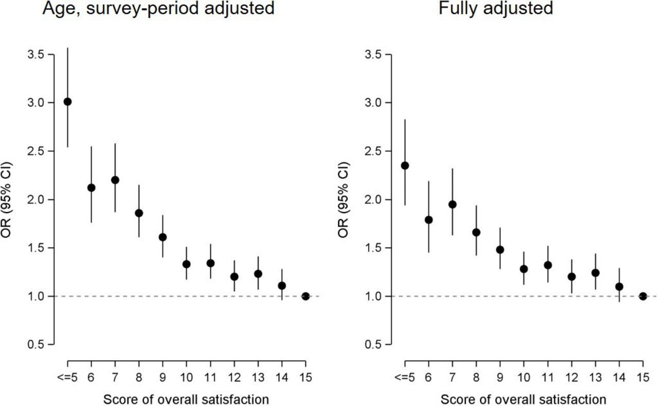
总的来说,关系满意度与多种长期状况的积累有关:满意度越高,风险越低。与报告最高满意度(15分)的妇女相比,那些报告最低满意度(5分或以下)的妇女在充分调整了潜在的影响因素后,积累多种长期病症的可能性是两倍以上。
研究人员说,这种关联的强度与公认的风险因素相当,如超重/肥胖、缺乏体育活动、吸烟和酒精摄入。当所有5种类型的关系都包括在分析中时,这种关联减弱了,但对除友谊之外的所有关系来说仍然是显著的。当个别条件被单独分析时,也观察到类似的结果。

既定的风险因素,如社会经济地位、健康行为和绝经状态,共同解释了不到五分之一的观察到的关联。
这是一项观察性研究,因此,不能确定原因。它还依赖于个人回忆,没有捕捉到成年早期社会关系的信息。研究人员说,由于它只包括澳大利亚妇女,研究结果可能不适用于男性或其他文化。他们强调说,需要进一步的研究来探索关系对多种长期疾病积累的其他具体影响,如亲密关系、数量以及情感和实际支持。
尽管如此,他们得出结论:"我们的发现对慢性病管理和干预有重大意义。首先,在个人层面上,这些影响可能有助于辅导妇女在整个中年到老年早期开始或维持高质量和多样化的社会关系的好处。第二,在社区层面,关注社会关系满意度或质量的干预措施在预防慢性病的发展方面可能特别有效。第三,在国家和全球层面,社会联系(例如,社会关系满意度)应被视为慢性病预防和干预的公共卫生优先事项"。