德克萨斯A&M大学电气和计算机工程系副教授H.Rusty Harris博士发现了一种被称为"膜电感"(Meminductor)的新型电路元件。电路元件是指用于调节和引导电路中的电流的电气元件。传统的三个电路元件是电阻器、电容器和电感器。

在过去的15年里,人们发现了另外两个电路元件,即记忆体和记忆电容。这些较新的电路元件被称为其经典对应物的"mem-"版本,表现出独特的电流和电压特性,这些特性在时间上取决于先前的电流或电压值,就像一个存储器。
Harris说:"就电气工程而言,这两项发现使世界有点儿变了样。突然间,我们认为我们有三个,但现在我们发现了另外两个。因此,这使我们想到肯定还有更多,但我们如何理解它们是什么?我们如何将所有这些东西相对地映射到彼此之间?结果发现,每个电阻和它的家族以及每个电容和它的家族之间都有关系。"

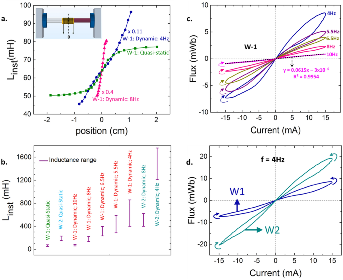
哈里斯和他的学生创建了一个两端无源系统--主要由一个与一对永久磁铁相互作用的电磁铁组成--来研究电感电路元件的磁通密度和磁化场强度。在这个工具的帮助下,哈里斯能够证明电感器内存在导致其mem-状态,或类似记忆的性质的捏合磁滞曲线,其定义与记忆体和记忆电容器的实现相同。


该研究小组在2月份的《科学报告》杂志上发表了他们的新电路元件发现,该杂志是世界上引用率第五高的杂志,属于《自然》期刊体系。
"新发现是非常令人兴奋的,"哈里斯说。"而在这个项目上,学生和教授之间的互动也很美好。在我们的头脑风暴会议上,我们相互喂养--我根据与他的讨论学到了新的东西,他根据我的经验学到了新的东西。"