猴面包树的叶子有20多年的寿命,而生长在中国贡嘎的云杉树可以存活千年。尽管生长在恶劣的条件下,这些树生长缓慢,它们的叶子通常平均可以持续存活20年。相比之下,枫树叶只存活一个季节,而蓝莓叶的寿命只有三个月。那么,是什么决定了树叶的寿命?
今天,来自中国、英国、日本、挪威、美国和澳大利亚的一个国际研究小组在《科学进展》上发表的一篇论文中报告了这个表面上简单的问题的答案。

Han Wang博士及其同事
第一作者,来自北京清华大学的Han Wang博士说:"这都是关于植物所面临的经济选择。我们已经知道,针叶树和其他常绿树木越靠近两极,它们的叶子就越长寿。落叶树则相反。它们最长寿的叶子是在热带地区发现的。"
"而且我们知道,长寿的叶子往往更坚韧、更厚实,生长起来的成本也更高。现在,我们已经确定了起作用的主要环境因素,并将其总结为两个方程式。这些叶子的经济特征是碳循环和营养经济的基础。"

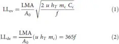
(1)常绿植物和(2)落叶植物的叶片寿命(LL)和单位面积叶片质量之间的关系
该团队使用来自中国植物性状数据库和全球植物性状网络的数百个生态系统的数千个物种的数据来测试他们的模型。
"每个物种基本上都在赌最大限度吸收碳的最佳方式,"共同作者、麦考瑞大学和西悉尼大学的Ian Wright教授说。

伊恩-赖特教授
"常绿针叶树生长在冬季漫长寒冷地区的贫瘠土壤中,只有在叶子上进行长期投资,才能茁壮成长。而落叶树,如枫树,在秋季落叶之前,争先恐后地创造新叶并在夏季的阳光下捕捉碳,"他说。"对枫树来说,经济上的理性决定是投资于快速生长的、廉价但脆弱的叶子。"
植物在其进化过程中一直受到气候的深刻变化。近代地质时代的冰川运动和其他大的、有时是快速的变化,导致了植被的重大变化。人类对气候的影响和对植被的直接影响正在增加塑造植物群落的力量,其方式仍然只有部分了解。
研究人员提出,这项研究不仅将解释今天什么地方生长,而且还将使生态学进入预测性科学,从而使得更好、更准确的全球和区域气候模型成为可能,让土地管理者能够更好地模拟森林和其他植被,并预测气候变化将如何影响生态系统允许更好地估计作物产量和气候变化对农业的影响。