返回上一页  首页 | cnbeta报时: 02:59:52
新冠奥密克戎BQ变种在美国占主导地位 单克隆抗体疗法摇摇欲坠
发布日期:2022-11-22 11:26:47  稿源:Win10s.COM

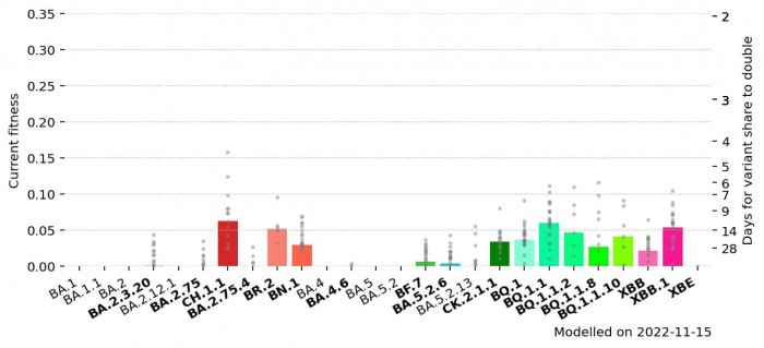
根据美国疾病控制和预防中心(CDC)的最新建模,一对Omicron亚变种(BQ.1和BQ.1.1)现在占了美国所有SARS-CoV-2感染病例的一半,迅速超过了以前占主导地位的BA.5变种。相关的新研究还表明,目前的单克隆抗体治疗可能对BQ变体无效。

Fhw54iwX0AYicSU.jpegFhw54iqWQAEhy7-.jpeg

经过几个月的相对稳定,BA.5 Omicron亚变种在六个星期内被两个新的亚变种迅速取代。BQ.1和BQ.1.1是BA.5的后代,在8月底首次被检测到后,10月初才被加入CDC的变种模型。根据最新的CDC模型,这对BQ变种现在占美国分析的样本的50%。BA.5从一周到一周迅速减少,目前占感染的比例不到四分之一。

与过去三年SARS-CoV-2故事中的大多数转折一样,目前还不清楚BQ的出现对该大流行病的未来意味着什么。那些追踪该病毒具体变异的人指出,这些新的亚变种正在寻找新的方法来避开我们先前存在的免疫力。但是,这并不一定会导致灾难性的新一轮感染和死亡。

法国是第一批在10月面临重大BQ变种感染潮的国家之一。虽然感染确实在短时间内激增,但很快就趋于平稳,住院人数没有严重增加。

在这些流行病学观察的基础上,研究人员没有看到BQ亚型在疾病严重程度上的重大差异。根据斯克里普斯研究转化研究所的创始人埃里克·托波尔的说法,这些都是真正有希望的迹象,乐观主义者可以解释为世界正在穿越COVID-19作为流行病的道路。

Topol最近在他的博客Ground Truths上推测说:"在先前的感染、疫苗接种、增强针和这些组合的压力下,该病毒更难找到新的宿主。到目前为止,它的结果看起来比最初预测的要有利得多。"

尽管BQ.1和BQ.1.1没有立即变成一些夸张的评论家所预言的末日变种,但这一流行病的故事远未结束。BQ并不是SARS-CoV-2变异的终点。变种追踪器已经检测到了BQ系的几个延伸(BQ.1.1.2、BQ.1.1.8、BQ.1.1.10),以及其他汇聚于类似突变优势的系,如重组系XBB,它已经超越了其原始形式,变成了XBB.1、XBE和XBF变种。

在Twitter上,德国研究员Moritz Gerstung对一个新出现的被称为CH.1.1的异质品系进行了思考。该亚变种来自BA.2,但独立获得了在BQ.1.1中看到的相同的关键突变。Gerstung将CH.1.1的出现描述为一个"收敛进化的奇特典范"。

图片.png

尽管Omicron最近的每一次新的迭代都还没有导致大规模重新感染的高峰,但对该病毒的发展方向仍有很多担忧。例如,最近的研究发现,BQ变种对最近的几个单克隆抗体疗法呈现出明显的抗性。

在今年早期Omicron变种的传播之后,临床医生只剩下一种有效的单克隆抗体治疗方法:贝特罗维单抗。第二种预防性的单克隆抗体鸡尾酒,称为Evushield,也一直保持有效。与贝特罗维单抗不同的是,前者是对已经罹患COVID-19的人的一种治疗方法,而Evushield则是为了在最容易患病的人身上预防感染而开发的,保护时间长达六个月。

发表在《柳叶刀传染病》上的一篇通讯报道了对所有目前临床使用的针对新出现的Omicron亚变种的抗体的测试。研究表明BQ.1.1是第一个对目前所有单克隆抗体治疗显示出抗性的新型Omicron亚变种。对BQ.1.1传播水平高的地区的医生的建议是,对脆弱的病人迅速采用抗病毒药物,如Paxlovid,而不是依靠这些以前有效的抗体治疗。

马萨诸塞州病原体准备联合会的Jeremy Luban说,那些免疫系统较弱的人对这两种抗体治疗的损失感受最深。而现在缺乏任何临床抗体选择,意味着我们只剩下疫苗和几种抗病毒疗法。

Luban说:"如果你认识任何患有癌症或因其他原因免疫力低下的人,没有抗体疗法的世界是非常可怕的。这是一个大问题。"

我们在FebBox(https://www.febbox.com/cnbeta) 开通了新的频道,更好阅读体验,更及时更新提醒,欢迎前来阅览和打赏。
查看网友评论   返回完整版观看

返回上一页  首页 | cnbeta报时: 02:59:52

文字版  标准版  电脑端

© 2003-2025