月壤是冷是热?导热性好吗?我国航天人把温度计“贴”在月球表面进行了实地测量。记者7日获悉,基于嫦娥四号探测器对月球背面表层月壤温度的就位测量结果,中国地质大学(武汉)行星科学研究所、澳门科技大学和中国空间技术研究院的研究人员发现,月壤具有非常好的隔热性,可作为月球基地表面隔热材料。
论文通讯作者、我国嫦娥四号月球探测任务核心科学家团队成员、中国地质大学(武汉)副教授黄俊告诉科技日报记者,这是人类首次利用就位探测数据揭示月球背面月壤的热物理性质,对于认识月球地质历史和探月航天器设计具有重要意义。相关成果近日发表于国际学术期刊《国家科学评论》。
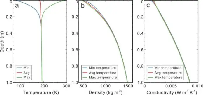
“就位探测保持了月壤的原始堆积方式,这对准确分析月壤的热导率十分关键。”黄俊解释,热导率是物体传导热量的能力,月壤的热导率与固体颗粒的堆积方式和大小有关,自阿波罗计划实施以来就引起人们的广泛关注。
记者了解到,嫦娥四号着陆器两根导轨的底端,安装了4个与月壤直接接触的温度计,每900秒测量一次月壤的温度。该研究采用了嫦娥四号着陆后第三个月的月壤温度数据。
测量结果显示,月壤温度具有白天高、晚上低的特点。日出后月壤温度快速上升,正午附近时温度达到最大值20多℃,正午之后温度开始下降,傍晚附近温度急剧下降至约-170℃,夜间温度缓慢下降。

论文第一作者、中国地质大学(武汉)博士生肖潇表示,白天月壤的温度主要受太阳辐射和周围环境热辐射的影响,夜间月表温度的变化主要受月壤的热物理性质影响。
数值模拟研究表明,嫦娥四号着陆点月壤颗粒的平均粒径约为15微米,大概是一根头发粗细的五分之一;月表和月壤内1米深处的月壤热导率分别为1.53×10-3W/(m·K)和8.48×10-3W/(m·K),“月壤导热的能力仅是空气的十分之一,水的百分之一,铁的万分之一。”肖潇表示。
“这说明在月球表面的真空条件下,月壤的热导率极低,是非常好的隔热层。未来在月球极区建立月球基地,可在基地表面覆盖一层月壤,以防止有害的宇宙辐射,并避免白天温度过高和夜间过度冷却。”黄俊说。