一种来自瑞典的新“饮酒前药丸”今日在英国上市。这种“宿醉药”被命名为Myrkl,据称可以在酒精到达肝脏之前将其分解从而防止有毒乙醛的形成。根据杜克大学酒精药理学教育伙伴关系的说法,乙醛是肝脏代谢血液中的乙醇时得到的主要产品。
它负责跟酒精有关的面部潮红、头痛、恶心和心率加快并对宿醉的整体可怕性做出贡献。因此,这绝对是饮酒者想尽可能避免的东西。
Myrkl由瑞典益生菌公司DeFaire Medical开发,每两片剂量的价格为2英镑。它包含的菌种包括Bacillus subtilis和B. coagulans,另外还添加了L-半胱氨酸和维生素B12及其他零碎的东西如发酵米糠、糊精、脂肪酸镁盐和磷酸钙。
这种药物旨在将肠道菌群置于食用者的肠道中,专门选择它们在酒精被吸收到血液之前进行代谢的能力。因此,它不会改变酒精对胃的破坏性影响,但它似乎大大减少了摄入酒精在身体可以获得的数量。
Myrkl的科学可信度似乎建立在一项单一的临床研究上,该研究由DeFaire Medical本身资助,上个月发表在同行评议的《Nutrition and Metabolic Insights》上。
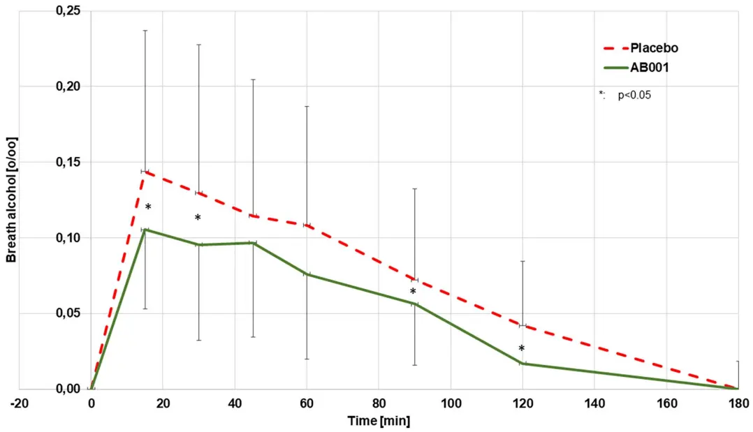
这项对24名健康的白种人受试者进行的小型研究并没有完全复制Myrkl在现实世界中可能的使用方式,部分原因是出于道德方面的考虑。该研究没有测试在饮酒前两小时服用单剂量的效果,而是让受试者在一周内每天服用一剂然后测试单杯酒的效果,得到的结果为每公斤体重0.3克酒精。因此,最轻的受试者喝的酒比两杯标准的30毫升的40%酒精少一点,而最重的人喝了大约三杯。
在这种情况下,研究小组发现,在饮酒30分钟后测量,研究组的血液酒精含量达到了对照组的50%左右的峰值。在60分钟后,两组之间的差距扩大到约70%,研究组在两小时后的平均血液酒精含量为零,而对照组则需要三小时才能达到同样的水平。该药物在减少呼吸中可检测到的酒精方面似乎不太有效--最强烈的效果是减少30%左右。
不过这项研究的局限性相当明显--在10个案例中即研究组的42%,给参与者的少量酒精根本没有导致可测量的血液酒精浓度。在IRB的研究批准过程中,研究人员被限制在这个数量。
事实上,研究小组提到,它通过一项未公布的但有安慰剂对照的试验进行跟踪,在只服用一次药物后,给受试者两倍的酒精量效果大大降低,研究组和对照组之间的差异在血液酒精含量中达到10%左右,在呼吸酒精含量中达到7%。
这项研究似乎没有跟踪乙醛或乙酸的水平,因此目前还不清楚DeFaire是如何支持其“肝脏不产生乙醛和乙酸”的广告主张的。如果酒精进入血液后,那么它最终会进入肝脏,而肝脏会产生这些物质,因为它致力于中和酒精并将其带入身体的废物排出系统。
不过饮酒者必须了解这一点:Myrkl在保留人们希望在去酒吧时体验的“乐趣”时不会减少酒精对人体系统的损害,它只是减少进入血液的酒精量。由于它的作用是中和,所以在某种意义上这是在浪费人们花很多钱喝进肚子里的酒精。
饮用者可以把每第二杯酒精饮料换成水并大大减少血液中的酒精、呼吸中的酒精、宿醉症状、脱水和晚上外出的费用。但当然,当首先要出去的原因是打破逻辑、合理、可就业的工作日心态,让自己有点疯狂并享受美好时光时,逻辑和理由往往会退居其次。
就像现代世界的许多东西一样,我们可以公平地假设,如果今天发明了酒精那么它就永远不会被合法化。酒类生产的简单性、禁酒令的彻底失败及数千年来酗酒文化的重压都超过了这种东西对个人、家庭和整个社会造成的众所周知的损害。
毒品问题独立科学委员会(Independent Scientific Committee on Drugs)在2010年发布的一项英国研究将酒精列为现有最有害的药物,其中包括海洛因、快克、冰毒、可卡因、烟草、大麻、氯胺酮、GHB、MDMA和迷幻药。
但这是文化的一部分--在英国,这种文化现在包括一种两液体的“宿醉药”,它可能给人们留下这样的印象,即他们可以多喝几杯而不遭受任何后果。
目前,第一批Myrkl已经卖完了,这表明人们对这种药片很有兴趣。


