返回上一页  首页 | cnbeta报时: 12:57:58
研究称接种流感疫苗与患阿尔茨海默病的风险明显降低有关
发布日期:2022-06-29 14:00:43  稿源:Win10s.COM

一项追踪约200万人健康状况的大型新研究发现,每年接种流感疫苗与患阿尔茨海默病的风险明显降低有关。这一令人信服的发现建立在越来越多的研究之上,这些研究发现了几种病毒感染与神经退行性疾病之间的联系。

在过去的几年里,一些小型研究指出了流感疫苗接种与降低阿尔茨海默病风险之间的意外联系。这项新研究提供了迄今为止对这种不寻常的相关性的最大和最有力的调查,并且还提出了一些新的假设,说明不起眼的流感疫苗如何能降低一个人患阿尔茨海默病的机会。

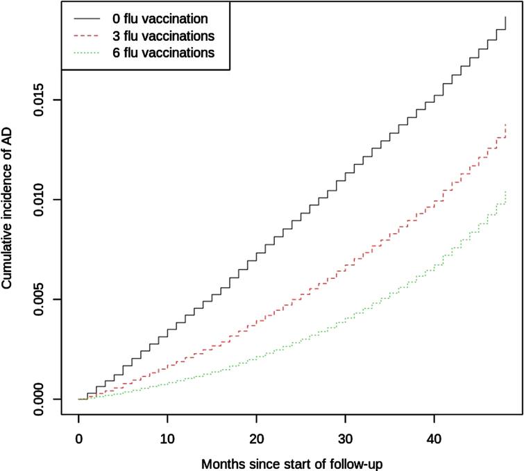
该研究调查了几百万65岁以上美国人的健康记录数据。一个由大约93万名接种过流感疫苗的受试者组成的队列与一个类似规模的未接种疫苗的队列进行了匹配。

在大约六年的时间里,研究人员看到5.1%的接种过流感疫苗的受试者患上了阿尔茨海默病,而在未接种疫苗的群体中,有8.5%的人患上了这种疾病。研究人员计算出,65岁以上的受试者每年接受流感疫苗接种至少4年,阿尔茨海默病的风险减少40%。

jad--1-jad220361-g002.jpg

“我们发现,老年人接种流感疫苗可以在几年内降低患阿尔茨海默病的风险,”第一作者Avram Bukhbinder指出。“这种保护作用的强度随着一个人每年接受流感疫苗的年数而增加--换句话说,那些每年坚持接受流感疫苗的人患阿尔茨海默病的比率最低。”

但问题是,流感疫苗如何能预防或减缓阿尔茨海默病的发病?这项新研究的高级作者Paul Schulz 说,他不认为流感疫苗和阿尔茨海默病风险之间的关联与流感疫苗有内在的关系。相反,他怀疑起作用的机制可能与一般的疫苗对先天免疫系统的作用有关系。

Schulz解释说:“由于有证据表明几种疫苗可以保护人们免受阿尔茨海默病的影响,我们认为这不是流感疫苗的具体影响。相反,我们认为免疫系统是复杂的,一些改变,如肺炎,可能以一种使阿尔茨海默病恶化的方式激活它。但其他激活免疫系统的事情可能以不同的方式进行--一种保护阿尔茨海默病的方式。显然,关于免疫系统如何恶化或改善这种疾病的结果,我们有更多的东西要学习。”

这个想法被称为“训练有素的免疫力”,它表明接种疫苗可以诱导一些非特异性的免疫变化,而不是个别疫苗所针对的特定抗原。这可以解释为什么各种不同的疫苗,从破伤风到结核病,都与较低的痴呆症发病率有关。

但也有另一种假说可以解释新的发现。阿尔茨海默病研究中最有趣的新观点之一涉及传染病可能在神经退行性疾病的进展中发挥的作用。

jad--1-jad220361-g003.jpg

早在20世纪50年代,许多科学家将阿尔茨海默病等神经退行性疾病称为"慢病毒病"。这个想法是病毒感染可以在急性感染后的几年,甚至几十年内悄悄地导致脑细胞的破坏。对于阿尔茨海默病主要的病毒竞争者被怀疑是疱疹。

大约在20世纪80年代,这种想法不再受欢迎,取而代之的是更现代的假说,侧重于有毒蛋白质的积累和导致神经退行性疾病。但最近,古老的病毒想法被重新提起,因为研究人员发现了病毒感染和疾病(如阿尔茨海默病、帕金森氏症和多发性硬化症)之间的一些关系。

有几种机制可以解释病毒是如何影响神经变性的,但最常见的假设是,病毒感染可以引发过度的免疫反应,导致一连串的事件,最终导致神经炎症,促使各种疾病的发生。就流感疫苗而言,有可能仅仅是在一个人的晚年预防一次流感,就能对阿尔茨海默病的发病可能性产生重大影响。

研究中提出的一个更有趣的假设是,由于流感病毒产生的蛋白质与被怀疑导致神经变性的有毒淀粉样蛋白之间存在结构上的相似性,因此接种流感疫苗可以直接预防阿尔茨海默病。这种“表观相似性”意味着流感疫苗产生的免疫反应有可能有助于防止阿尔茨海默病的发展。

当然,这里有很多猜测,而且研究人员清楚,未来的研究将是至关重要的,以调查到底是什么机制在发挥作用。然而,越来越明显的是,病毒感染和神经系统疾病之间似乎确实存在着联系,而接种疫苗可能会减轻一些影响。最近的研究揭示了COVID-19对大脑的影响,只是建立在这一总体想法之上。

新研究得出的结论是:“未来的调查将至关重要,以澄清哪些机制是流感疫苗对阿尔茨海默病风险的明显影响,接种疫苗的年龄是否调节了疫苗与阿尔茨海默病风险的关系,以及流感疫苗是否也影响轻度认知障碍(MCI)或阿尔茨海默病患者的进展速度。”

这项新研究发表在《阿尔茨海默病杂志》上。

我们在FebBox(https://www.febbox.com/cnbeta) 开通了新的频道,更好阅读体验,更及时更新提醒,欢迎前来阅览和打赏。
查看网友评论   返回完整版观看

返回上一页  首页 | cnbeta报时: 12:57:58

文字版  标准版  电脑端

© 2003-2025