目前电动汽车遇到的困难之一是温度的考验,在低温环境下会导致大量的功率损失,实际表现症状就是充电速度缓慢和续航里程减少,同事可能会对制动等系统产生影响。福特等汽车制造商已经试验了旨在解决这些缺点的热管理系统,而现在一支科研团队提出了创造性的解决方案。




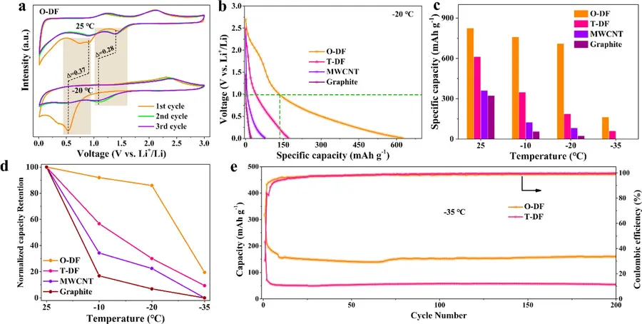
科学家提出的解决方案主要利用到了衍生钴化合物(ZIF-67)材料,该材料被加热到高温以创造出 12 面的碳纳米球。这些微小的结构具有凹凸不平的表面,恰好具有出色的电荷传输能力,因此它们被迅速地用作硬币状电池的阳极材料,并带有锂金属阴极。
这些实验表明,该电池在从77°F(25°C)到-4°F(-20°C)的温度范围内充电和放电时可以保持稳定。在略低于冰点的温度下,该电池保持了 85.9% 的存储容量。这些测试是与其他锂离子电池设计一起进行的,它们被发现在冰点温度下几乎没有电。即使将温度降至 -31°F(-35°C),带有凹凸不平的阳极的电池仍然能够被充电,并在放电时释放几乎所有的电荷。
科学家们说,这些结果表明,这种设计可以将锂离子电池的功能扩展到极端环境中,这可能不仅仅适用于电动汽车,还适用于从无人机到航天器以及两者之间的许多东西。
这项研究发表在《ACS Central Science.》