美国麻省理工学院物理学家在单原子薄材料中发现了一种奇异的“多铁性”状态。他们的观察首次证实了多铁性可存在于完美的二维材料中。发表在最新一期《自然》杂志上的这一发现,为开发更小、更快、更高效的数据存储设备铺平了道路,这些设备由超薄的多铁性比特和其他新的纳米级结构组成。
研究作者、麻省理工学院物理学教授努格迪克称,二维材料就像乐高积木,不同组合会出现百变形状。“现在我们有了一个新的乐高积木:单层多铁体,它可与其他材料堆叠在一起,诱导出有趣的特性。”
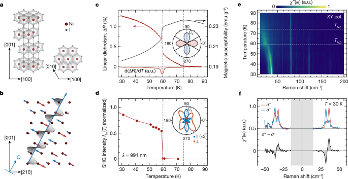
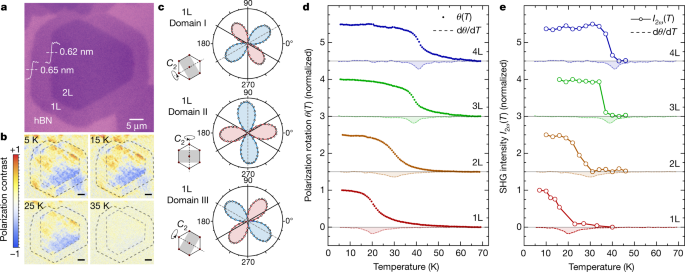
实验证实,碘化镍在其二维形式中是多铁性的。更重要的是,这项研究首次证明了多铁有序可存在于二维中,这是构建纳米级多铁存储位的理想维度。
在材料科学中,“多铁性”指的是材料电子中任何属性在外场下的集体转换,如它们的电荷或磁自旋方向。材料可以表现为几种铁性状态中的一种。例如,铁磁材料是电子自旋集体沿着磁场方向排列的材料,就像向日葵向着太阳转一样。同样地,铁电材料由自动与电场对齐的电子电荷组成。

在大多数情况下,材料要么是铁电性的,要么是铁磁性的。它们很少能同时体现这两种状态。“这种组合非常罕见,”研究作者之一里卡多·科明教授说。“即使对整个元素周期表都不加限制,也不会有太多这样的多铁材料生产出来。”
但最近几年,科学家们在实验室里以奇特的耦合方式合成了表现出多铁性的材料,既表现为铁电体,又表现为铁磁体。电子的磁自旋不仅可受磁场影响,还可受电场影响。
这种耦合的多铁性状态令研究人员十分兴奋,因为它具有开发磁性数据存储设备的潜力。在传统的磁性硬盘驱动器中,数据被写入快速旋转的磁盘上,磁盘上刻有微小的磁性材料域。悬浮在磁盘上的一个小尖端会产生一个磁场,它可以共同将域的电子自旋切换到一个方向或另一个方向,以表示编码数据的基本“位”——“0”或“1”。

尖端的磁场通常是由电流产生的,这需要大量的能量,其中一些能量可能会以热的形式损失。除了硬盘过热外,电流产生磁场和切换磁位的速度也有限制。科明和努格迪克等物理学家认为,如果这些磁性比特可由多铁性材料制成,它们就可使用更快、更节能的电场而不是电流感应磁场来切换。如果使用电场,写入比特的过程将会快得多,因为在电路中可在几分之一纳秒内产生场,这可能比使用电流快数百倍。