返回上一页  首页 | cnbeta报时: 02:14:03
科学家将引力波探测器技术运用到了新型暗物质的探寻上
发布日期:2022-02-01 17:24:03  稿源:Win10s.COM

作为本世纪最大的科学突破之一,引力波探测背后的技术,现正被用于寻找难以捉摸的暗物质。在近日发表于《自然》杂志上的一项研究中,由卡迪夫大学重力探索研究所的科学家们带领的一支团队,详细介绍了他们如何使用汉诺威附近的德-英 GEO600 引力波探测器的数据,来寻找一种新的暗物质。

0-1 GEO600-Detector.jpg

为 GEO600 探测器开发的新技术,亦被推广到全球其它此类系统。

虽未开展直接检测,但这种独特的搜索,还是建立新方法的第一步。通过排除某些与暗物质有关的理论,研究人员得以改进未来的宇宙成分观测。

据悉,暗物质被认为占宇宙所有物质的 85% 左右,但迄今从未被观察到。

作为现代物理学中最大的未解之谜,一些科学家怀疑这是否与引力效应相关。

例如大量不可见的物质可被用于解释为何星系会以这样的形式旋转,及其最初是如何形成的。

直到最近,人们普遍认为暗物质是由重基本粒子组成的。尽管付出了很多努力,但迄今还是一无所获。现在,科学家们正转向替代理论来解释暗物质。

比如最近一个理论认为,暗物质实际上是一种被称为标量场的东西,且其表现形式为在星系(包括我们所在的银河系)周围反弹的无形波。

0-2 GEO600-Gravitational-Wave-Observatory.jpg

(图自:马克斯普朗克引力物理研究所 / H. Lück / AEI)

得益于极其敏感的引力波探测器,已有多项杰出的发现得到证明。科学家们相信现有的引力波技术有真正的潜力来发现最终的暗物质、乃至找出它是由什么构成的。

如上图所示,该引力波天文台位于汉诺威以南 20 公里处,臂长 600 米。

GEO600 负责人、曾于 2009 - 2017 年担任首席科学家、来自卡迪夫大学重力探索研究所的 Hartmut Grote 表示:

我们意识到该仪器可用于寻找这种新型暗物质,尽管它们最初是为探测引力波而设计的。

在 GEO600 等激光干涉仪中,激光被分成了两束。通过在真空管中传播数百米、并在镜子之间反射,然后在探测器上相遇。

由此,科学家们可以非常准确地测量光束彼此之间的不同步程度,这本身就是光束遇到的任何干扰的代表。

1.png

研究配图 - 1:改进 LPSD 技术调谐 / 预期暗物质线宽 / 典型幅度谱

在引力波探测中,来自遥远天文事件的时空涟漪,会将激光传播的距离压缩和拉伸千分之一的质子直径。

而 GEO600 探测器,就被 AEI 科学家们用于寻找阿尔伯特·爱因斯坦预测的微小时空涟漪。

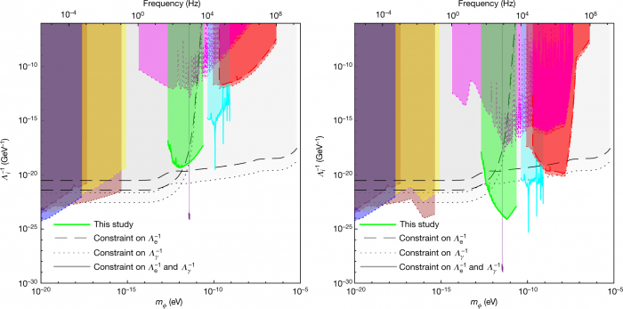
2.png

研究配图 - 2:基本标量场景中的标量场暗物质的函数约束

作为一款高命令度干涉仪,期间开发的大部分技术,也被用到了 LIGO 和 Virgo 引力波探测项目。

虽然其它探测器能够做到对引力波更加敏感,但 GEO600 的特长,就是对标量场暗物质的影响更加敏感。

3.png

研究配图 - 3:膨胀子/模量和弛豫光晕场景

同样来自卡迪夫大学的首席研究员 Sander Vermeulen 表示:“标量场暗物质波将直接穿过地球和我们的仪器,从而引发镜子之类的物体发生如此轻微的振动”。

镜子振动会以暗物质特有的方式,干扰到 GEO600 或 LIGO 探测器等仪器中的光束。这是我们应该能够探测到的东西,具体取决于暗物质的确切特性。

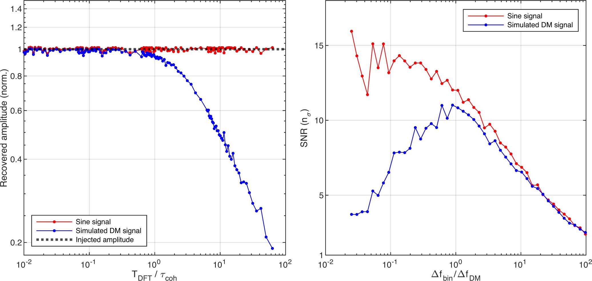
4.jpg

扩展数据 - 图 1:模拟暗物质信号和单色正弦波的光谱幅度和 SNR

尽管该团队未能在这项新研究中开展任何类型的检测,但他们表示,他们在将这项技术引入暗物质搜索方面迈出了重要的第一步,并且缩小了某些参数、以造福于未来研究。

Hartmut Grote 指出:

当一款仪器最初是为完全不同的目的而建造时,其对寻找暗物质的敏感度,着实让我们感到惊奇不已。

Sander Vermeulen 补充道:

我们已明确排除一些认为暗物质具有某些特性的理论,从而明晰了未来的探索方向,我们相信这些新技术具有在未来某个时候发现暗物质的真正潜力。

最后,马克斯普朗克引力物理研究所(阿尔伯特爱因斯坦研究所)所长、兼汉诺威莱布尼茨大学引力物理研究所所长的 Karsten Danzmann 总结道:

这项研究的最棒之处,在于再次证明了 GEO600 是一种极其实用、灵敏、且具有开创性的研究仪器。

查看网友评论   返回完整版观看

返回上一页  首页 | cnbeta报时: 02:14:03

文字版  标准版  电脑端

© 2003-2026