最近,一个国际研究小组根据最新的实验数据成功地更新了7Li(d,n)24He反应速率,从核物理学的角度消除了宇宙学锂(Li)问题中的重大模糊性。大爆炸目前被认为是描述宇宙起源和演变的最成功的模型。然而,它却受到了所谓的锂问题的限制,锂问题是指原始锂-7丰度与观测值相比被高估了三倍,而观测到的原始氘和氦丰度却与模型相匹配。
从核物理学的角度来看,准确的锂破坏反应的反应速率对于准确预测原始锂-7丰度和进一步理解锂问题非常关键。然而,作为一个重要的锂-7破坏反应,7Li(d,n)24He反应在2018年之前都还没有得到很好的研究。
发表在《天体物理学报》上的一项新研究,根据最近对三个近阈值铍-9激发态的实验测量,更新了7Li(d,n)24He反应速率。这项工作是由一个国际研究小组进行的,该小组由中国科学院现代物理研究所的Hou Suqing领导。
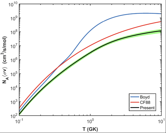
7Li(d,n)24He的总反应速率作为温度的函数,单位为千兆开尔文,其中绿色阴影带是其相关的不确定性。为了进行比较,研究人员还绘制了先前CF88和BM93的结果。

研究人员发现,在原始核合成开始的典型温度下,新的7Li(d,n)24He速率总体上比以前的估计值要小60倍左右。
此外,研究人员首次提出了由实验直接制约的7Li(d,n)24He反应速率的不确定性。
根据这项研究,新的结果消除了由于这一反应而计算出的锂-7丰度的重大模糊性,这将有助于理解原始锂问题和探测标准模型之外的异类物理。