剑桥大学阿登布鲁克医院与来自世界各地的其他20家医院以及英伟达公司一起,利用人工智能(AI)在全球范围内预测COVID-19患者的氧气需求。这项研究是由大流行病引发的,旨在建立一个人工智能工具,利用来自四大洲的数据,预测COVID-19患者在住院治疗的最初几天可能需要多少额外的氧气。
这项技术被称为联合学习,使用一种算法来分析有症状的医院病人的胸部X光片和电子健康数据。为了严格保护病人的隐私,病人数据被完全匿名化,算法被发送到每家医院,因此没有数据被共享或离开医疗机构实体。算法从数据中"学习",分析结果被汇集到一起,建立一个人工智能工具,可以预测世界任何地方医院患者的氧气需求。

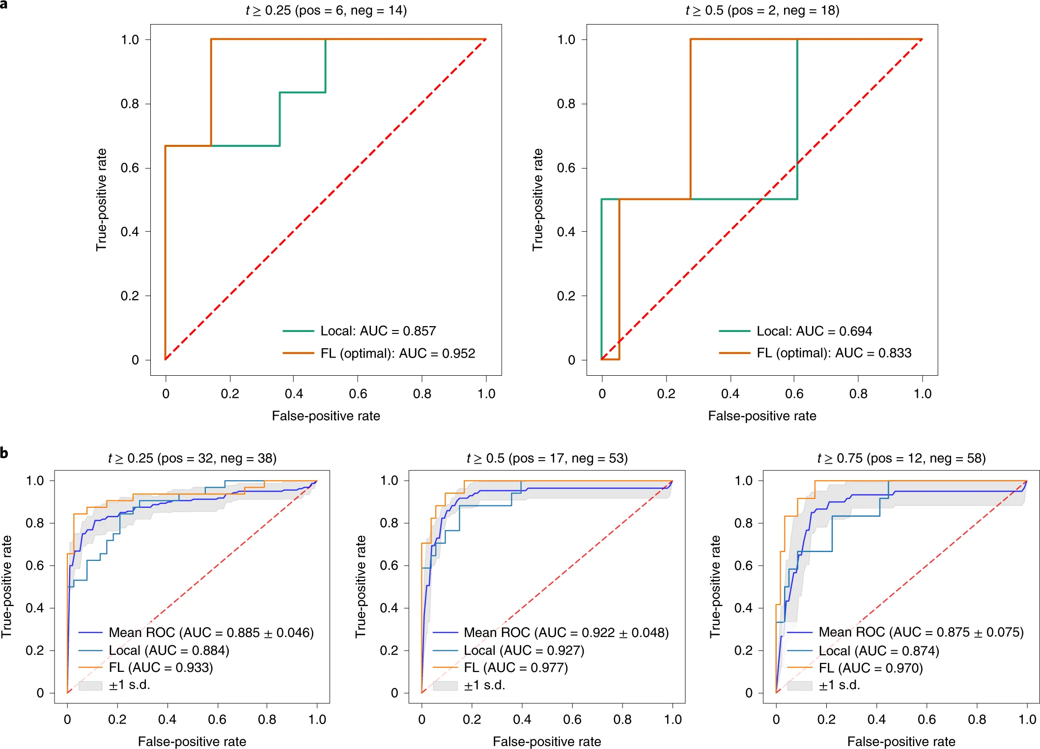
这项研究于2021年9月15日发表在《自然医学》上,被称为EXAM(代表EMR CXR AI模型),是迄今为止最大、最多样化的临床联合学习研究之一。
为了检查EXAM的准确性,它在五大洲的一些医院进行了测试,包括阿登布鲁克医院。 结果显示,它预测了病人到达急诊科后24小时内所需的氧气,敏感性为95%,特异性超过88%。
菲奥娜·吉尔伯特教授说:"联合学习具有将人工智能创新带入临床工作流程的变革性力量,"他领导了剑桥的这项研究,是阿登布鲁克医院的名誉顾问放射学家和剑桥大学临床医学院的放射学主席。"我们与EXAM的持续合作表明,这类全球合作是可重复的,也是更有效的,因此我们可以满足临床医生的需求,以应对复杂的健康挑战和未来的流行病。"
该研究的第一作者,来自美国马萨诸塞州宾汉姆医院的Ittai Dayan博士说:"通常在人工智能开发中,当你在一家医院的数据上创建一个算法时,它在任何其他医院都不能很好地工作。通过使用联合学习和来自不同大洲的客观、多模态数据开发EXAM模型,我们能够建立一个可推广的模型,可以帮助全世界的一线医生。"EXAM算法主要是在他那里开发的,该项目汇集了北美和南美、欧洲和亚洲的合作者,EXAM研究只用了两周的人工智能"学习"就实现了高质量的预测。
英伟达医疗AI全球负责人Mona G Flores博士说:"Federated Learning使研究人员能够进行合作,并为我们在全球范围内利用AI的力量所能做的事情制定了新的标准。这不仅会推动人工智能在医疗领域的发展,而且会推动所有希望在不牺牲隐私的情况下建立强大模型的行业的发展。"
研究中分析了来自世界各地的约10000名COVID患者的结果,包括在2020年3月/4月大流行的第一波中来到阿登布鲁克医院的250人。
该研究得到了国家健康研究所(NIHR)剑桥生物医学研究中心(BRC)的支持。
关于EXAM模型的工作一直在继续。Mass General Brigham和NIHR剑桥生物医学研究中心正在与Dayan博士共同创办的NVIDIA Inception初创公司Rhino Health合作,使用EXAM进行前瞻性研究。
吉尔伯特教授补充说:"创建与我们最好的放射科医生的表现相匹配的软件是复杂的,但却是一个真正的变革性愿望。我们越能利用联合学习和协作安全地整合不同来源的数据,并拥有创新所需的空间,学术界就能越快地实现这些变革性目标"。


