由斯科尔沃(Skoltech)和 IBM 带领的一支国际研究团队,刚刚打造了一种极其节能的“光开关”(Optical Switch)。得益于对光子的操纵能力,其致力于取代传统计算机上的电子晶体管。除了省电和无需额外冷却,其速度还提升到了每秒 1 万亿次,较当前顶级商用晶体管领先 100~1000 倍。

研究配图 - 1:有机物中极端非对称性的原理示意
在 2021 年 9 月 22 日发表于《自然》(Nature)杂志上的一篇文章中,研究一作 Anton Zasedatelev 博士评论指出:新装置如此优异的节能特性,得益于它只需要几个光子即可切换。
该校混合光子学实验室负责人 Pavlos Lagoudakis 教授补充道:尽管在全光协处理器中使用这一原理验证的演示还有很长一段路要走,但它们其实已在斯科尔沃(Skoltech)理工学院的实验室中顺利实现了仅用一个光子来完成切换。
据悉,光子是自然界中存在的最小的光粒子,因而除了功耗,在这之外也没有太大的改进空间。大多数现代电子晶体管都需要数十倍的能量才能完成切换,而单电子方案又较高效晶体管要慢得多。
除了性能问题,可与之竞争的节能型电子晶体管还需要庞大的冷却装置提供支撑,而额外的能源开销又严重影响到了运营成本。作为对比,新型单光子非线性“光开关”却能够在室温下轻松运行。

研究配图 - 2:阿托焦(Attojoule)极子化开关
除了实现类似晶体管的主要功能,“光开关”还可作为一个组件,以光信号的形式在设备间实现连接和数据传输。此外也能够作为一个放大器,将入射激光器的强度提升多达 23000 倍。
具体说来是,该设备依靠两个激光将其状态为“0”或“1”、并在两者之间进行切换。只需相当微弱的控制激光束(几个光子),即可用于开关另一束更亮的激光束,因而能源效率也极其显著。
这种转换发生在微腔内 —— 一种夹在高反射无机结构之间的 35nm 薄的有机半导体聚合物 —— 通过将入射光尽可能长时间地困在内部,以利于其与腔材料的耦合。
这种光物质耦合构成了新设备的基础,当光子强烈耦合到腔体材料中的“束缚电子-空穴对”(bound electron-hole pairs)时,就会产生所谓的激子(excitons)。

研究配图 - 3:单光子能级的极化子开关对比
作为极化子的短寿命实体,激子也是用于开关核心操作的一种准粒子。当泵浦激光器(两者中较亮的一个)照射在开关上时,就会在同一位置产生数千个相同的准粒子。
通过形成所谓的玻色-爱因斯坦凝聚,从而实现装置的“0”和“1”逻辑状态编码。而为了在设备的两个能级之间进行切换,研究团队还利用了激光脉冲,在泵浦激光脉冲到达之前不久对冷凝物进行引晶(seeding)。
此举会刺激泵浦激光器的能级转换,增加凝聚物中准粒子的数量。那里的大量粒子,就对应于设备的“1”状态。
为了确保低功耗,研究人员还采取了其它几项调整措施。首先,半导体聚合物分子的振动有助于有效切换。诀窍是将泵浦态和凝聚态之间的能隙,与聚合物中一种特定分子振动的能量相匹配。

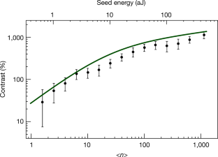
研究配图 - 4:用于单次冷凝实现的单光子切换
其次,研究团队设法将激光调谐到了最佳波长,并实施了一种新的测量方案,可用于实现单次冷凝检测。第三,控制激光引晶及其检测方法,通过抑制设备“背景噪声”发散的方式进行匹配。
这些措施能够最大限度地提升设备的信噪比水平,并防止微腔吸收过多的能量,否则只会以分子振动的形式让装置发热。最后,为了降低设备的功耗,研究团队还有一些工作要做。
由于目前主要由保护层开关开启的泵浦激光器主导,实现这一目标的潜在途径就包括了运用钙钛矿超晶材料,正如研究合著者正在探索的那样。
得益于高强度的光物质耦合特性,其已倍证明是优秀的候选,反之又能够以超荧光的形式,引发极强的集体量子响应。
从更宏观的角度来看,研究人员认为他们打造的新型“光晶体管”,只不过是过去几年组装的不断增长的全光学组件工具包的其中一个。其它组件还包括一套低损耗的硅波导,用于在晶体管之间来回传输光信号。
这些组件的发展,使得我们距离操纵光子(而不是电子)的光学计算机更近了一步,从而带来极其优越的性能和超低的功耗。最后,Skoltech 的这项研究,还得到了俄罗斯科学基金会(RSF)的帮助。