近年来频繁遭遇的极端天气,已经引发了有关能源供应可靠性的巨大担忧。比如不久前发生的加州与德克萨斯州大停电,就凸显了现有电力基础设施的脆弱性。至于核电,此前已有研究表明,温度上升将带来冷却方面的问题。而近期一项针对更广泛气候事件的综合分析,更是指出了炎热天气之外的全方位气候难题。

研究配图 - 1:各种气候因素均可导致核电厂的运营中断
更高的温度,意味着自然冷却的效率也越来越差。不过新研究指出,飓风和台风已成为核电站运营中断的主要原因,至少在北美、南亚和东亚都是如此。
为应对风暴而执行的预防性停运,其实不难理解。但其它因素的考验,同样不容小觑 —— 比如因水母种群的异常增殖而堵塞冷却水进水管道。

研究配图 - 2:核电站十年平均停电频率的变化
总体而言,新研究分析计算出了与气候相关的核电站停运频率,几乎是 1990 年代的八倍。
研究还预计,在未来 40 年里,全球核电站将因此损失高达 1.4%(约 36 TWh)的能源产出。在 2081 - 2100 年间,更是更会增长到 2.4%(即 61 TWh)。

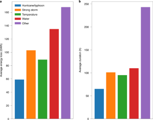
研究配图 - 3:2010 - 2019 年间因气候引发的核电站停运分析
研究作者分析了国际原子能机构的公开数据库,以确定世界上 408 个正在运行的反应堆的运营数据(与气候部分或完全相关)。
计划外的停电,往往会留下清晰可查的记录。然后将相关数据与过去 30 年进行比较,即可预估未来的停电频率和相关趋势。

研究配图 - 4:反应堆年能量损失 / 停电频率比较
为了解哪些类型的气候事件对核电影响最大,作者还调取了 2010 - 2019 年间的更详细数据。
尽管文章没有将报告的事件与气候变化直接联系起来,但还是得出了一个明确的结论 —— 受一系列气候事件影响而造成的停电频率,已呈现总体上的增加趋势。

研究配图 - 5:气候相关事件引发的全面停电特征
研究主要指出了两大类型的气候因素,一类是高温、干旱、野火引发的“热破坏”,另一类则是包括飓风、台风、雷暴、洪水在内的“风暴”事件。
比如在干旱的情况下,核电站将缺乏足够的水来冷却反应堆。然而在全球变暖的大趋势下,生态系统已经给出了更加异常的反馈 —— 比如水母种群数量暴增而堵塞进水管。

研究配图 - 6:气候相关停电导致的年度能源损失的预期变化
最终作者计算得出,与气候相关的平均停电频率,已从 1990 年代的 0.2 次 / 年,增加到了 2010 年代的 1.5 次 / 年。
回顾性的分析进一步表明,温度每升高 1℃(高于 1951 - 1980 之间的平均),发电厂的能源输出也下降了约 0.5% 。

有关这项研究的详情,已经发表在近日出版的《自然能源》(Nature Energy)期刊上。
原标题为《Increase in frequency of nuclear power outages due to changing climate》。