当拓扑绝缘体中的电子突然改变其运动方向时,科学家们也观察到了一种新式的光发射。在宏观的现实生活中,如需改变大质量物体(比如汽车)的运动方向,就必须先减速到接近完全停止。而即便是宇宙中最小电子,也遵循着同样的规则。

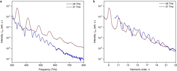
研究配图 - 1:来自 TI 的 HH 发射
不过对于未来的超快电子元件来说,科学家们似乎能够绕过这个惯性的束缚。由于光子不携带质量,它能够以尽可能高的速度移动。

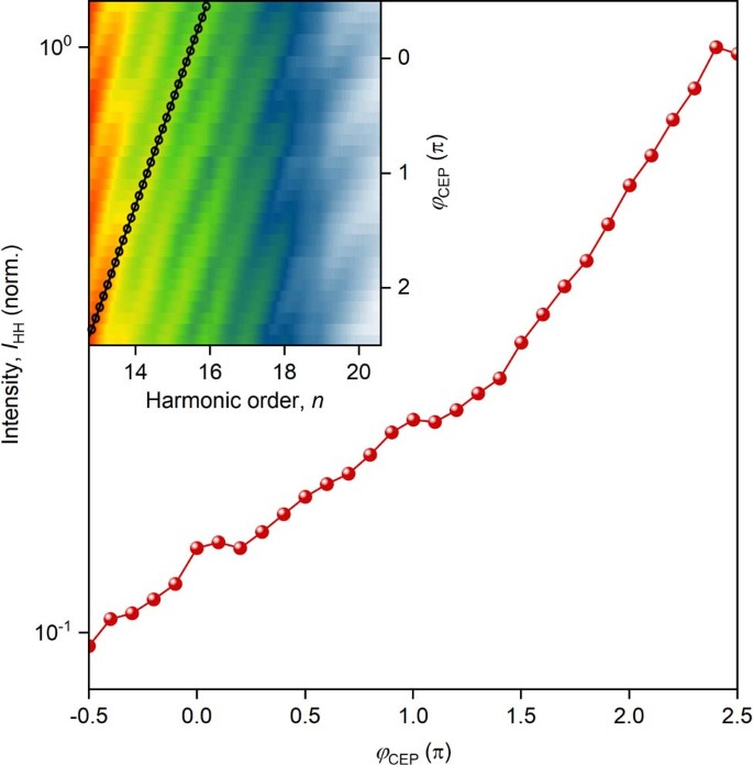
研究配图 - 2:HH 发射对 CEP 驱动场的依赖性
SCI Tech Daily 指出,光在改变方向时并不需要减速。例如当被镜子反射时,光子能够瞬时改变方向,而不会在中途有任何停留。

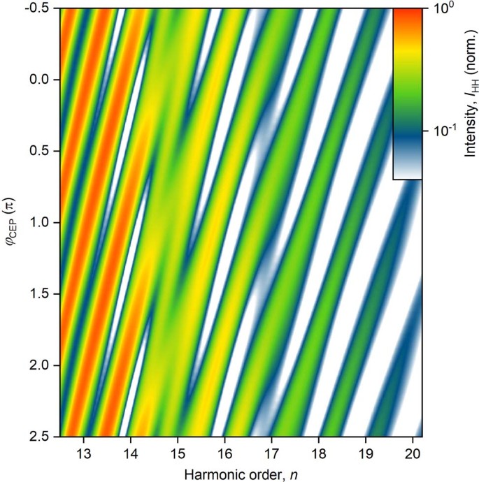
研究配图 - 3:来自 TSS 的高效 HHG 的微观起源
对于未来的电子产品来说,如果电流的方向也能够无限快速地切换,那处理器的时钟频率,也将能够大幅增加。

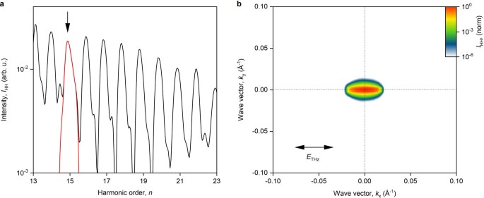
研究配图 - 4:来自 TSS 的 HH 辐射中的几何相位效应追踪
据悉,来自雷根斯堡大学、马尔堡大学、以及新西伯利亚俄罗斯科学院的一支国际物理学家联盟,已成功地在超快时间尺度上,实现了电子的翻转运动、而没有减慢它们的速度。

扩展数据 - 1:Bi2Te3 样品的晶体取向
在这项研究中,他们采用了基于拓扑绝缘体的新型材料。表面上的电子行为,几乎能够像无质量的光子一样移动。

扩展数据 - 2:载流子诸如体态 / 表面态的 HHG 比较
为尽快改变这些电子的运动方向,研究人员利用了光的振荡载流子场来加速电子 —— 这也是人类可控制的自然界中最快的交变场。

扩展数据 - 3:体积强度与表面 HHG 的比较
当电子突然改变其运动方向时,就会发出超短的闪光,其中包含了像彩虹一样的宽带光谱颜色。

扩展数据 - 4:TSS 中 HHG 的 CEP 依赖性
电子闪烁的颜色,也有着严格的定义:通常当电子被光波加速时,其只会发射辐射,振荡频率仅是入射光频率的整数倍(即所谓的高次谐波辐射)。

扩展数据 - 5:TSS CEP 相关的 HHG SBE 模拟(无带间转换)
研究一作 Christoph Schmid 解释称:“通过仔细调整加速光场,将能够打破这一规则。我们设法控制了电子的运动,从而产生了各种可以想象到的光的颜色”。

扩展数据 - 6:TSS 中 HHG 的动量空间起源
在对辐射进行深入分析时,科学家们发现了电子所具有的更不寻常的量子特性。很明显,拓扑绝缘体表面上的电子,并不会跟随光的电场沿直线运动,而是在固体中执行曲折的轨迹。

扩展数据 - 7:TSS 中的量子机械波包运动
Jan Wilhekm 博士解释称:“即使对于理论学家来说,只要稍微靠近一点,就能够看到量子力学能够产生哪些现象,这点事相当让人着迷的”。

扩展数据 - 8:偏振测量的扩展分析
其与雷根斯大学物理研究所的同事们携手开发的模拟,已成功地解释了这项实验结果。其不仅为电子的微观量子特性提供了有趣的见解,还建议将拓扑绝缘体作为未来电子与信息处理的一种有前途的材料类别。

扩展数据 - 9:拓扑表面状态下的颤振运动
有关这项研究的详情,已经发表于近日出版的《自然》(Nature)杂志上。
原标题为《Tunable non-integer high-harmonic generation in a topological insulator》。