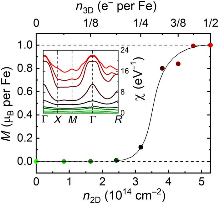
研究团队首次成功利用电力,让常规状态下没有磁性的材料有了磁性。这项发现,让普通材料制造电子元件成为可能。简单来说,当材料中原子的大多数电子向同一方向旋转时,就会产生铁磁性(ferromagnetism)。但对于非磁性材料,电子通常是成对的,因此它们的相反自旋抵消了磁场。

研究人员已经成功地在一种通常根本没有磁性的材料--黄铁矿(也称硫化铁)中诱发了磁性。在这项研究中,该团队使用了一种名为电解质门控(electrolyte gating)的技术。
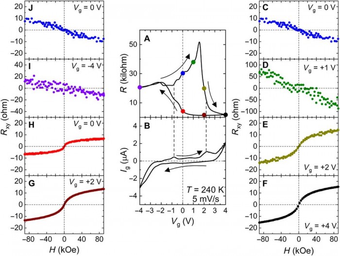
首先,团队将黄铁矿与一种离子液体的电解质进行接触。然后团队施加了只有 1 伏特的电流,将带正电的分子移动到电解质和黄铁矿接触的区域,产生一个可测量的磁力。有趣的是,一旦电压被关闭,磁性也被关闭,这在电子应用中可能会很方便。
这项研究的首席研究员 Chris Leighton 表示:“我们非常惊讶于它的工作方式。通过施加电压,我们基本上将电子注入材料。理论上,如果你得到足够高的电子浓度,材料就会想自发地变成铁磁体。这有很大的潜力。在硫化铁上做到了这一点,我们想我们也可以在其他材料上做到这一点。”


该研究发表在《科学进展》杂志上。
来源:明尼苏达大学