返回上一页  首页 | cnbeta报时: 20:39:57
[图]科学家成功为奇怪金属建模:发现新物质状态 和黑洞有共同之处
发布日期:2020-07-24 14:50:34  稿源:Win10s.COM

之所以取名“奇怪金属”(Strange Metals),不仅在于这些材料表现出了和传统金属不同的导电性能,更令人惊讶的是它们和黑洞有共同之处。一项新研究有了更深入的发现,这些奇怪金属可以有一种新的物质状态。

有别于传统金属,奇怪金属的电阻和温度有直接关联。目前人类所观察到的是,奇怪金属中的电子以量子力学定律所允许的速度失去能量。但这并不是该物质的全貌,它们的导电性还与物理学的两个基本常数有关--普朗克常数(定义了光子能携带多少能量)以及玻尔兹曼常数(将气体中粒子的动能与气体的温度联系起来)。

虽然这些特性很早就已经被观察到,但是科学家很难准确的对奇怪金属进行建模。因此,来自来自 Flatiron 研究所和康奈尔大学的研究团队决定解决建模问题。

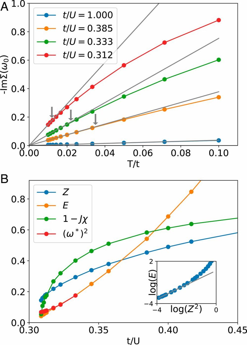
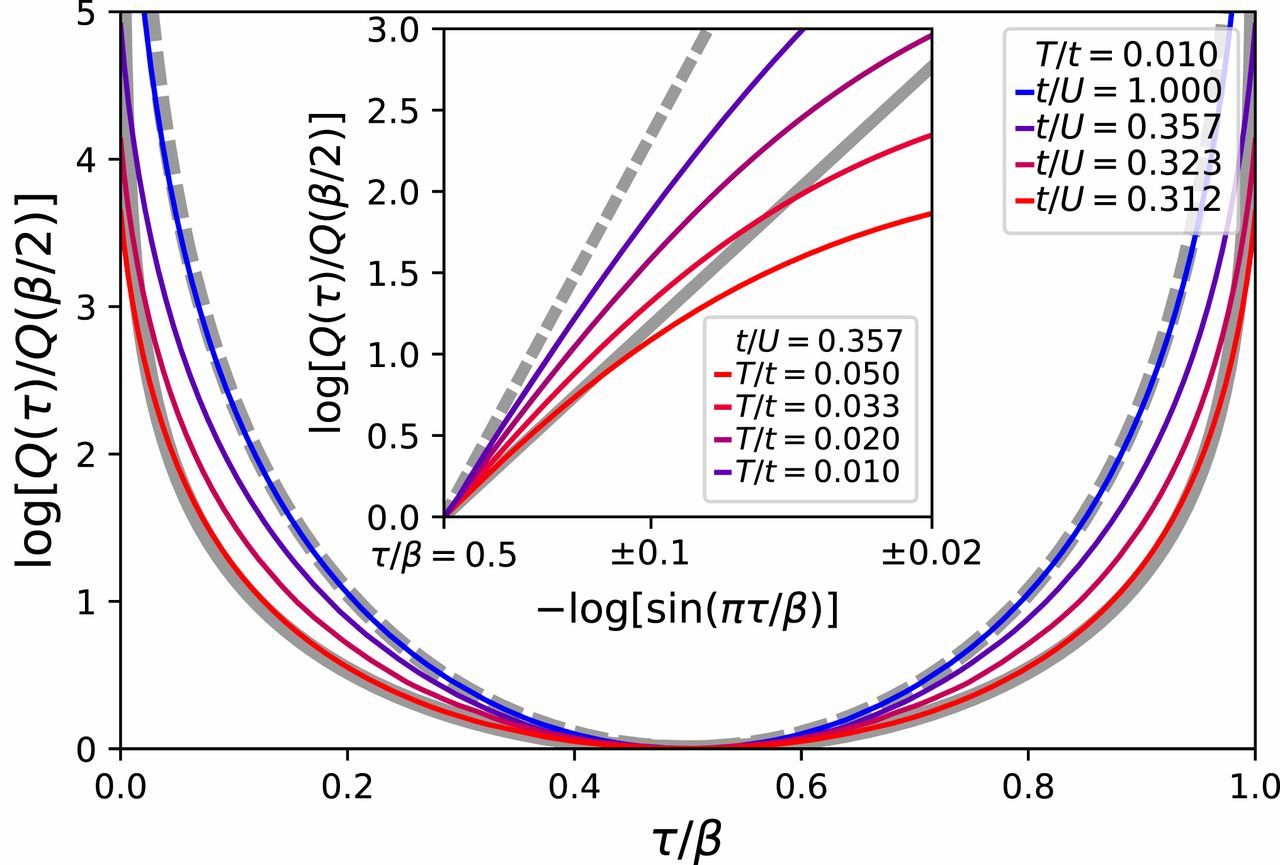
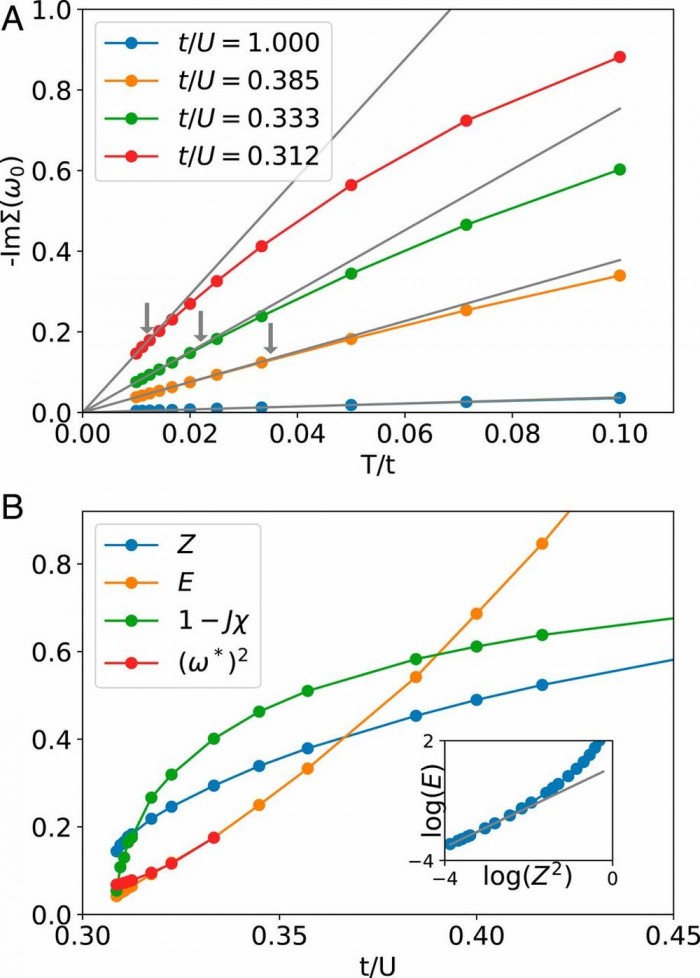
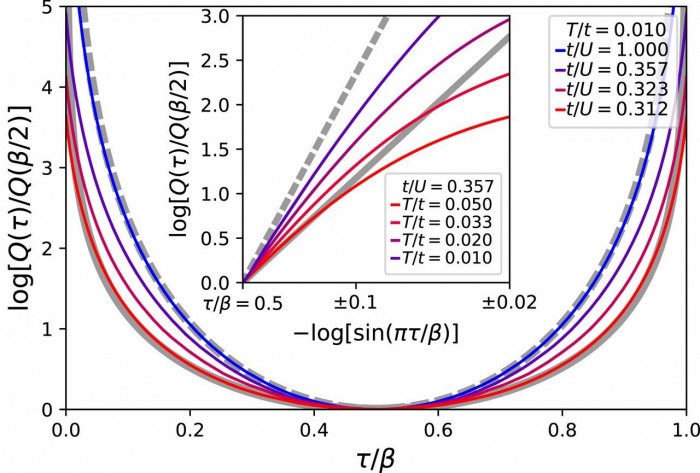
在建模过程中,团队发现奇怪金属实际上代表了一种新的物质状态。原来它们存在于两种已知的物质相之间--莫特绝缘自旋玻璃和费米液体,研究人员能够更详细地描述它们的特性。

该研究的作者 Eun-Ah Kim 表示:“这种量子自旋液体状态不是那么锁定,但也不是完全自由的。它是一种迟钝的、汤状的、泥浆状的状态。它是金属性的,但又是勉强的金属性,它把混沌程度推到了量子力学的极限。”

但奇怪的金属最奇怪、最引人注目的地方可能是它们与黑洞有一些共同的特性。这些宇宙奇物的特性也完全与温度和普朗克常数和玻尔兹曼常数有关,包括它们与其他黑洞合并后 "ring"的时间。

通常情况下,奇异金属中电子的物理学原理太过复杂,无法进行精确计算。其中涉及到大量的粒子,而且由于电子往往会形成量子纠缠,所以不能将它们作为独立的物体来对待。

该团队使用两种不同的方法克服了这些障碍。首先,他们使用量子嵌入方法,只对少数原子进行复杂的计算,然后对系统的其他部分进行泛化。其次,他们使用了一种量子蒙特卡洛算法,该算法使用重复随机抽样来执行计算。这种组合一起帮助该团队更好地了解了奇怪金属。

该团队表示,他们对奇怪金属的新模型可以帮助物理学家理解超导体如何在更高的温度下工作。

该研究发表在《美国国家科学院院刊》杂志上。

来源:西蒙斯基金会

查看网友评论   返回完整版观看

返回上一页  首页 | cnbeta报时: 20:39:57

文字版  标准版  电脑端

© 2003-2026